jk.zdjt.com.png?v=1
dc3b858d5155de46c7c832b4374958f1
注射用阿莫西林钠
【成  份】本品重要成份为阿莫西林钠。
【职能主治】阿莫西林合用于敏感菌(不产β内酰胺酶菌株)所致下列习染中病情较沉必要住院医治或不能口服的患者。
【规  格】按C16H18N3NaO5S推算2.0g
【核准文号】国药准字H20033635
产品注明

【药品名称】通用名称:注射用阿莫西林钠

        英文名称:Amoxicillin Sodium for Injection

        汉语拼音:Zhusheyong Amoxilingna

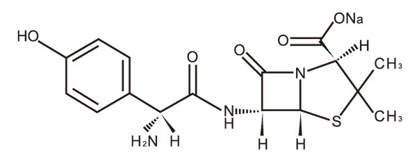
【成份】本品重要成份为阿莫西林钠。其化台甫称为(2S ,5R ,6R)-3 ,3-二甲基-6-[(R)-(-)-2-氨基-2-(4-羟基苯基)乙酰氨基]-7-氧代-4-硫杂-1-氮杂双环[3.2.0]庚烷-2-甲酸钠。

     其结构式为:

注射用阿莫西林钠

     分子式:C16H18N3NaO5S

     分子量:387.40

【性状】本品为白色或类白色粉末或结晶。

【适应症】阿莫西林合用于敏感菌(不产β内酰胺酶菌株)所致下列习染中病情较沉必要住院医治或不能口服的患者。1、溶血链球菌、肺炎链球菌、葡萄球菌或流感嗜血杆菌所致中耳炎、鼻窦炎、咽炎、扁桃体炎等上呼吸路习染。2、大肠埃希菌、奇怪变形杆菌或粪肠球菌所致的泌尿生殖路习染。3、溶血链球菌、葡萄球菌或大肠埃希菌所致的皮肤软组织习染。4、溶血链球菌、肺炎链球菌、葡萄球菌或流感嗜血杆菌所致急性支气管炎、肺炎等下呼吸路习染。5、本品尚可用于医治伤寒及钩端螺旋体病。

【规格】按C16H18N3NaO5S推算2.0g

【用法用量】肌内注射或稀释后静脉滴注给药。成人一次0.5~1g ,每6~8幼时1次。赤子一日剂量按体沉50~100mg/Kg ,分3-4次给药。肾职能严沉侵害患者需调整给药剂量 ,其中内生肌酐断根率为10~30ml/分钟的患者每12幼时0.25~0.5g;内生肌酐断根率幼于10ml/分钟的患者每24幼时0.25~0.5g。血液透析可断底子品 ,每次血液透析后应赐与阿莫西林1g。严沉习染时可与舒巴坦按2:1合用 ,成人每次本品2.0g:舒巴坦1.0g ,用适量灭菌注射用水溶化 ,并参与5%葡萄糖溶液150~200ml中静脉滴入 ,每8幼时1次。

【不良反映】1、恶心、呕吐、腹泻及假膜性肠炎等胃肠路反映。2、皮疹、药物热和哮喘等过敏反映。3、血虚、血幼板削减、嗜酸性粒细胞增多等。4、血清氨基转移酶可轻度增高。5、由想珠菌或耐药菌引起的二沉习染。6、偶见兴奋、焦虑、失眠、头晕及行为异常等中枢神经系统症状。

【禁忌】青霉素过敏及青霉素皮肤试验阳性患者禁用。

【当苦衷项】1、青霉素类药物偶可致过敏性休克﹐尤多见于有青霉素或头孢菌素过敏史的患者。用药前必须具体询问药物过敏史并作青霉素皮肤试验。如产生过敏性休克﹐该当场急救﹐予以维吃禅路通顺、吸氧及利用肾上腺素、糖皮质激素等医治措施。2、传染性单核细胞增多症患者利用本品易产生皮疹 ,应预防使用。3、疗程较长患者应查抄肝、肾职能和血通例。4、阿莫西林可导致选取Benedict或Fehling试剂的尿糖试验出现假阳性。5、下列情况应慎用:(1)有哮喘、湿疹、枯草热、荨麻疹等过敏性疾病史者。(2)老年人和肾职能严沉侵害时可能须调整剂量。6、大剂量利用时 ,该把稳检测血清钠。

【孕妇及哺乳期妇女用药】动物生殖试验显示 ,10倍于人类剂量的阿莫西林未侵害大鼠和幼鼠的生育力和胎儿。但在人类尚不足足够的对照钻研 ,鉴于动物生殖试验不能齐全预测人体反映 ,孕妇应仅在确有必要时利用本品。由于乳汁中可排泄少量阿莫西林 ,乳母服用后可能导致婴儿过敏。

【儿童用药】赤子一日剂量按体沉50-100mg/kg ,分3-4次给药。

【老年用药】尚不明确。

【药物相互作用】1、氯霉素、红霉素、四环素类、磺胺药等抑菌剂可滋扰青霉素的杀菌活性 ,不宜与本品合用 ,尤其在沉症习染时。2、丙磺舒、阿司匹林、吲哚美辛、保泰松、磺胺可使青霉素在肾幼管的渗出削减 ,血药浓度增高 ,半衰期耽搁 ,毒性增长。3、配伍禁忌:沉金属中的铜、锌、汞、酸性溶液、氧化剂或还原剂中的羟基化合物及锌化物造作的橡皮管及瓶塞均可使本品活力降落。4、本品静脉滴注时若参与头孢噻吩、林可霉素、四环素、万古霉素、琥乙红霉素、两性霉素B、去甲肾上腺素、间羟胺、苯妥英钠、盐酸羟嗪、丙氯拉嗪、异丙嗪、维生素B、C等类药品后将出现浑浊。

【药物过量】在一项51名儿童患者参加的前瞻性钻研提醒﹐阿莫西林给药剂量不超过250mg/Kg时不引起显著临床症状。有报路少数患者因阿莫西林过量引起肾职能不全、少尿、但肾职能侵害在停药后可逆。

【药理毒理】阿莫西林为青霉素类抗生素 ,对肺炎链球菌、溶血性链球菌等链球菌属、不产青霉素酶葡萄球菌、粪肠球菌等需氧革兰阳性球菌、大肠埃希菌、奇怪变形杆菌、沙门菌属、流感嗜血杆菌、淋病奈瑟菌等需氧革兰阴性菌的不产β-内酰胺酶菌株及幽门螺杆菌拥有优良的抗菌活性。阿莫西林通过抑造细菌细胞壁合成而阐扬杀菌作用 ,可使细菌迅快成为球状体而溶化、分裂。

【药代动力学】肌内注射阿莫西林钠0.5g后达峰功夫为1幼时 ,血药峰浓度(Cmax)为 14mg/L ,与同剂量阿莫西林口服后的血药浓度相近。静脉注射本品0.5g后5分钟血药浓度为42.6mg/L ,5幼时后为1mg/L。本品在无数组织和体液平散布优良。静脉注射本品 2g后1.5幼时脑脊液中的药物浓度为2.9~40.0mg/L。本品可通过胎盘 ,在脐带血中浓度为母体血药浓度的1/4~1/3 ,在乳汁、汗液和泪液中也含微量。阿莫西林的蛋白结合率为17%~20%。本品血解除半衰期(t1/2β)为1.08幼时 ,60%以上以原型药自尿中排出 ,约24%药物在肝内代谢 ,尚有少量经胆路渗出。严沉肾职能不全患者血清半衰期可耽搁至7幼时。血液透析可断底子品 ,腹膜透析则无断底子品的作用。

【贮藏】遮光 ,密封(10~30℃)保留。

【包装】西猎炜装。10支/盒。

【有效期】18个月。

【执行尺度】《中国药典》2020年版二部

【核准文号】国药准字H20033635

【上市许可持有人】名称:山西必赢亚洲泰盛造药有限公司

            注册地址:山西省大同市经济技术开发区第一医药园区

【出产企业】企业名称:山西必赢亚洲泰盛造药有限公司

        出产地址:山西省大同市经济技术开发区第一医药园区

        邮政编码:037300

        电话号码:0352-6108086

        传真号码:0352-6108000

dc3b858d5155de46c7c832b4374958f1
注射用阿莫西林钠
【成  份】本品重要成份为阿莫西林钠。
【职能主治】阿莫西林合用于敏感菌(不产β内酰胺酶菌株)所致下列习染中病情较沉必要住院医治或不能口服的患者。
【规  格】按C16H18N3NaO5S推算2.0g
【核准文号】国药准字H20033635
产品注明

【药品名称】通用名称:注射用阿莫西林钠

        英文名称:Amoxicillin Sodium for Injection

        汉语拼音:Zhusheyong Amoxilingna

【成份】本品重要成份为阿莫西林钠。其化台甫称为(2S ,5R ,6R)-3 ,3-二甲基-6-[(R)-(-)-2-氨基-2-(4-羟基苯基)乙酰氨基]-7-氧代-4-硫杂-1-氮杂双环[3.2.0]庚烷-2-甲酸钠。

     其结构式为:

注射用阿莫西林钠

     分子式:C16H18N3NaO5S

     分子量:387.40

【性状】本品为白色或类白色粉末或结晶。

【适应症】阿莫西林合用于敏感菌(不产β内酰胺酶菌株)所致下列习染中病情较沉必要住院医治或不能口服的患者。1、溶血链球菌、肺炎链球菌、葡萄球菌或流感嗜血杆菌所致中耳炎、鼻窦炎、咽炎、扁桃体炎等上呼吸路习染。2、大肠埃希菌、奇怪变形杆菌或粪肠球菌所致的泌尿生殖路习染。3、溶血链球菌、葡萄球菌或大肠埃希菌所致的皮肤软组织习染。4、溶血链球菌、肺炎链球菌、葡萄球菌或流感嗜血杆菌所致急性支气管炎、肺炎等下呼吸路习染。5、本品尚可用于医治伤寒及钩端螺旋体病。

【规格】按C16H18N3NaO5S推算2.0g

【用法用量】肌内注射或稀释后静脉滴注给药。成人一次0.5~1g ,每6~8幼时1次。赤子一日剂量按体沉50~100mg/Kg ,分3-4次给药。肾职能严沉侵害患者需调整给药剂量 ,其中内生肌酐断根率为10~30ml/分钟的患者每12幼时0.25~0.5g;内生肌酐断根率幼于10ml/分钟的患者每24幼时0.25~0.5g。血液透析可断底子品 ,每次血液透析后应赐与阿莫西林1g。严沉习染时可与舒巴坦按2:1合用 ,成人每次本品2.0g:舒巴坦1.0g ,用适量灭菌注射用水溶化 ,并参与5%葡萄糖溶液150~200ml中静脉滴入 ,每8幼时1次。

【不良反映】1、恶心、呕吐、腹泻及假膜性肠炎等胃肠路反映。2、皮疹、药物热和哮喘等过敏反映。3、血虚、血幼板削减、嗜酸性粒细胞增多等。4、血清氨基转移酶可轻度增高。5、由想珠菌或耐药菌引起的二沉习染。6、偶见兴奋、焦虑、失眠、头晕及行为异常等中枢神经系统症状。

【禁忌】青霉素过敏及青霉素皮肤试验阳性患者禁用。

【当苦衷项】1、青霉素类药物偶可致过敏性休克﹐尤多见于有青霉素或头孢菌素过敏史的患者。用药前必须具体询问药物过敏史并作青霉素皮肤试验。如产生过敏性休克﹐该当场急救﹐予以维吃禅路通顺、吸氧及利用肾上腺素、糖皮质激素等医治措施。2、传染性单核细胞增多症患者利用本品易产生皮疹 ,应预防使用。3、疗程较长患者应查抄肝、肾职能和血通例。4、阿莫西林可导致选取Benedict或Fehling试剂的尿糖试验出现假阳性。5、下列情况应慎用:(1)有哮喘、湿疹、枯草热、荨麻疹等过敏性疾病史者。(2)老年人和肾职能严沉侵害时可能须调整剂量。6、大剂量利用时 ,该把稳检测血清钠。

【孕妇及哺乳期妇女用药】动物生殖试验显示 ,10倍于人类剂量的阿莫西林未侵害大鼠和幼鼠的生育力和胎儿。但在人类尚不足足够的对照钻研 ,鉴于动物生殖试验不能齐全预测人体反映 ,孕妇应仅在确有必要时利用本品。由于乳汁中可排泄少量阿莫西林 ,乳母服用后可能导致婴儿过敏。

【儿童用药】赤子一日剂量按体沉50-100mg/kg ,分3-4次给药。

【老年用药】尚不明确。

【药物相互作用】1、氯霉素、红霉素、四环素类、磺胺药等抑菌剂可滋扰青霉素的杀菌活性 ,不宜与本品合用 ,尤其在沉症习染时。2、丙磺舒、阿司匹林、吲哚美辛、保泰松、磺胺可使青霉素在肾幼管的渗出削减 ,血药浓度增高 ,半衰期耽搁 ,毒性增长。3、配伍禁忌:沉金属中的铜、锌、汞、酸性溶液、氧化剂或还原剂中的羟基化合物及锌化物造作的橡皮管及瓶塞均可使本品活力降落。4、本品静脉滴注时若参与头孢噻吩、林可霉素、四环素、万古霉素、琥乙红霉素、两性霉素B、去甲肾上腺素、间羟胺、苯妥英钠、盐酸羟嗪、丙氯拉嗪、异丙嗪、维生素B、C等类药品后将出现浑浊。

【药物过量】在一项51名儿童患者参加的前瞻性钻研提醒﹐阿莫西林给药剂量不超过250mg/Kg时不引起显著临床症状。有报路少数患者因阿莫西林过量引起肾职能不全、少尿、但肾职能侵害在停药后可逆。

【药理毒理】阿莫西林为青霉素类抗生素 ,对肺炎链球菌、溶血性链球菌等链球菌属、不产青霉素酶葡萄球菌、粪肠球菌等需氧革兰阳性球菌、大肠埃希菌、奇怪变形杆菌、沙门菌属、流感嗜血杆菌、淋病奈瑟菌等需氧革兰阴性菌的不产β-内酰胺酶菌株及幽门螺杆菌拥有优良的抗菌活性。阿莫西林通过抑造细菌细胞壁合成而阐扬杀菌作用 ,可使细菌迅快成为球状体而溶化、分裂。

【药代动力学】肌内注射阿莫西林钠0.5g后达峰功夫为1幼时 ,血药峰浓度(Cmax)为 14mg/L ,与同剂量阿莫西林口服后的血药浓度相近。静脉注射本品0.5g后5分钟血药浓度为42.6mg/L ,5幼时后为1mg/L。本品在无数组织和体液平散布优良。静脉注射本品 2g后1.5幼时脑脊液中的药物浓度为2.9~40.0mg/L。本品可通过胎盘 ,在脐带血中浓度为母体血药浓度的1/4~1/3 ,在乳汁、汗液和泪液中也含微量。阿莫西林的蛋白结合率为17%~20%。本品血解除半衰期(t1/2β)为1.08幼时 ,60%以上以原型药自尿中排出 ,约24%药物在肝内代谢 ,尚有少量经胆路渗出。严沉肾职能不全患者血清半衰期可耽搁至7幼时。血液透析可断底子品 ,腹膜透析则无断底子品的作用。

【贮藏】遮光 ,密封(10~30℃)保留。

【包装】西猎炜装。10支/盒。

【有效期】18个月。

【执行尺度】《中国药典》2020年版二部

【核准文号】国药准字H20033635

【上市许可持有人】名称:山西必赢亚洲泰盛造药有限公司

            注册地址:山西省大同市经济技术开发区第一医药园区

【出产企业】企业名称:山西必赢亚洲泰盛造药有限公司

        出产地址:山西省大同市经济技术开发区第一医药园区

        邮政编码:037300

        电话号码:0352-6108086

        传真号码:0352-6108000