jk.zdjt.com.png?v=1
a62d9e9d45e3a68358506f6728067e8c
×¢ÉäÓú˻ÆËØÁ×ËáÄÆ
¡¾³É¡¡¡¡·Ý¡¿±¾Æ·ÖØÒª³É·ÝΪºË»ÆËØÁ×ËáÄÆ¡£
¡¾Ö°ÄÜÖ÷ÖΡ¿ºË»ÆËز¹³ä¼Á¡£ÓÃÓÚÓɺ˻ÆËز»×ãÒýÆðµÄ³³×ìÑס¢´½Ñס¢ÉàÑס¢ÑÛ½áĤÑ×¼°ÒõÄÒÑ׵ȼ²²¡µÄÒ½ÖΡ£
¡¾¹æ¡¡¡¡¸ñ¡¿5mg¡¾°´ºË»ÆËØ£¨C17H20N4O6 )¼Æ¡¿
¡¾ºË×¼Îĺš¿¹úÒ©×¼×ÖH20060747
²úÆ·×¢Ã÷

¡¾Ò©Æ·Ãû³Æ¡¿Í¨ÓÃÃû³Æ£º×¢ÉäÓú˻ÆËØÁ×ËáÄÆ

Ó¢ÎÄÃû³Æ£ºRiboflavin Sodium Phosphatefor Injection

ººÓïÆ´Òô£ºZhusheyong Hehuangsu Linsuana

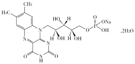
¡¾³É·Ý¡¿±¾Æ·ÖØÒª³É·ÝΪºË»ÆËØÁ×ËáÄÆ£¬Æä»¯Ì¨¸¦³ÆÎªºË»ÆËØ5 ¡¯Ò»£¨¶þÇâÁ×Ëáõ¥£©µ¥ÄÆÑζþË®ºÏÎï¡£

     Æä»¯Ñ§½á¹¹Ê½£º

×¢ÉäÓú˻ÆËØÁ×ËáÄÆ

     ·Ö×Óʽ£ºC17H20N4NaO9P¡¤2H2O

     ·Ö×ÓÁ¿£º514.36

     È«Êý¸¨ÁÏÃû³ÆÎª£º¸Ê¶´¼¡£

¡¾ÐÔ×´¡¿±¾Æ·Îª»ÆÉ«»ò³È»ÆÉ«ÊèËÉ¿é×´Îï»ò·ÛÄ©¡£

¡¾ÊÊÓ¦Ö¢¡¿ºË»ÆËز¹³ä¼Á¡£ÓÃÓÚÓɺ˻ÆËز»×ãÒýÆðµÄ³³×ìÑס¢´½Ñס¢ÉàÑס¢ÑÛ½áĤÑ×¼°ÒõÄÒÑ׵ȼ²²¡µÄÒ½ÖΡ£

¡¾¹æ¸ñ¡¿5mg¡¾°´ºË»ÆËØ£¨C17H20N4O6)¼Æ¡¿

¡¾Ó÷¨ÓÃÁ¿¡¿Æ¤Ï¡¢¼¡ÄÚ×¢Éä»ò¾²Âö×¢Éä¡£Ò»´Î5¡«30mg£¬Ò»ÈÕ1´Î¡£

¡¾²»Á¼·´Ó³¡¿1¡¢ÉöÖ°ÄÜÕý³£Ê±£¬±¾Ò©ÏÕЩ²»²úÉú¶¾ÐÔ¡£2¡¢±¾Æ·ÓÐÒÔϲ»Á¼·´Ó³¡£(1)Ƥ·ô¼°Æä¸½¼þ£ºÆ¤Õî¡¢ðþÑ÷¡¢¶àº¹µÈ £»(2)È«ÉíÐÔÇÖº¦£º·¢ÈÈ¡¢¸ßÈÈ¡¢ÐØÃÆ¡¢º®à䡢ηº®¡¢²Ò°×µÈ £»(3)θ³¦ÏµÍ³£º¶ñÐÄ¡¢Å»Í¡¢¸¹Í´µÈ £»(4)Éñ¾­ÏµÍ³£ºÍ·ÔΡ¢Í·Í´¡¢³é´¤¡¢ÂéľµÈ £»(5)ÐÄѪ¹Üϵͳ£º³±ºì¡¢Ðļ¡¢×Ï礵È £»(6)ºôÎüϵͳ£ººôÎü¼±´Ù¡¢±ïÆø¡¢¿ÈËÔ¡¢ºôÎüÄÑÌâµÈ £»(7)ÃâÒßÖ°ÄÜ´íÂÒ¼°Ï°È¾£º¹ýÃô·´Ó³¡¢¹ýÃôÑù·´Ó³¡¢¹ýÃôÐÔÐݿ˵È £»(8)ÆäËû£º¾²ÂöÑס¢×¢É䲿λÌÛÍ´¡¢·³Ôê¡¢ÑüÍ´µÈ¡£

¡¾½û¼É¡¿¶Ô±¾Æ·¼°Ëùº¬³É·Ý¹ýÃôÕß½ûÓá£

¡¾µ±¿àÖÔÏî¡¿´óÁ¿Ê¹Óñ¾Ò©ºóÄòÒº³Ê»ÆÉ«(»ò»ÆÂÌÉ«£©£¬Ò²¿ÉÒýÆðÀàËÆ¼××´ÏÙÖ°ÄÜ¿º½øÖ¢×´¡£

¡¾Ôи¾¼°²¸ÈéÆÚ¸¾Å®ÓÃÒ©¡¿±¾Ò©¶Ô»³Ì¥µÄÓ°ÏìÉв»Ã÷È·¡£±¾Ò©¿ÉÅÅйÈëÈéÖ­£¬µ«²¸ÈéÊǰ²È«µÄ¡£

¡¾¶ùͯÓÃÒ©¡¿Éв»Ã÷È·¡£

¡¾ÀÏÄêÓÃÒ©¡¿Éв»Ã÷È·¡£

¡¾Ò©ÎïÏ໥×÷Óῼ×ÑõÂÈÆÕ°·¿É½µµÍ±¾Ò©ÎüÊÕ¡£¹Ê²»Ò˺ÏÓá£

¡¾Ò©Îï¹ýÁ¿¡¿Éв»Ã÷È·¡£

¡¾Ò©Àí¶¾Àí¡¿Ò©Àí×÷Ó㺱¾Æ·ÎªÎ¬ÉúËØÀàÒ©¡£ºË»ÆËØ£¨Î¬ÉúËØB2£©ÊÇÈËÌå³ÁÒªÓªÑøËØ£¬ÔÚÄÜÁ¿´úлÖÐÆð¹Ø¼ü×÷Óᣱ¾Ò©Îª»ÆËص¥ºËÜÕËá( FMN£©ºÍ»ÆËØÏÙàÑßʶþºËÜÕËá( FA D )ǰÌåÒ©£¬¶øFMNºÍFADÊÇ»ÆËØÃ¸¼Ò×åµÄ³ÁÒª¸¨ÖúÒò×Ó¡ £»ÆËØÃ¸´ß»¯ºÃ¶àÉú»¯·´Ó³£¬×îµäÐ͵ÄΪÑõ»¯»¹Ô­·´Ó³£¬ËüÃÇÊÇϸ°ûºôÎüµÄ¹Ø¼üÒò×Ó¡£FADºÍFMNÔÚÏßÁ£Ì嶯µ¯Á´ÖеÝÇ⣬Ôڴ˹ý³ÌÖвúÉúϸ°ûÄÜÁ¿¡£²»×ãʱ¿ÉÓ°Ïì»úÌåµÄÉúÎïÑõ»¯£¬Ê¹´úл²úÉú×è°­£¬Æä²¡±ä¶à²û·¢Îª¿Ú¡¢ÑÛ¡¢±íÉúÖ³Æ÷²¿Î»µÄÑ×Ö¢¡£

¡¾Ò©´ú¶¯Á¦Ñ§¡¿ÎÞ±¾Ò©×¢Éä¸øÒ©µÄÒ©´ú¶¯Á¦Ñ§×ÊÁÏ¡£¾ÝÎļþ×ÊÁÏ£¬ºË»ÆËؿڷþºó£¬ÖØÒªÔÚ½ü¶ÎÓ׳¦ÎüÊÕ£¬Ê³Æ·ÄÜÍÆ½ø¸ÃÆ·ÎüÊÕ£¬µ¨Ñμӿì¸ÃÆ·ÎüÊÕ¡£ÔÚ2¡«25mg¼ÁÁ¿ÁìÓòÄÚ£¬ÆäÉúÎïÀûÓöÈΪ50¡«60%£¬µ¥´Î¿Ú·þµÄ×î´óÎüÊÕÁ¿Îª27mg£¬³¬Á¿²¿ÃÅ´Ó·à±ãÖÐÉø³ö¡ £»ÆËص¥ºËÜÕËᣨ FMN£©ºÍ»ÆËØÏÙàÑßʶþºËÜÕËá( FA D)ÎüÊÕ½ÏÉÙ¡£±¾Ò©¾­Ãž²ÂöÈë¸Î½øÈëѪҺѭ»·£¬ÔÙ´ïµ½×éÖ¯¡£´ó²¿ÃÅѪÇåºË»ÆËر»°×µ°°×»òÃâÒßÇòµ°°×תÔË£¬Í¨¹ýŨ¶ÈÌݶÈÃÖÉ¢ÖÁϸ°ûÄÚ¡£ÔÚϸ°ûÄÚ£¬ºË»ÆËØÍ¨¹ý»ÆËؼ¤Ã¸×ª»»ÎªFMN£¬FMNÓÖͨ¹ýFADºÏ³Éøת»»³ÉΪFAD£¬FADÊÇ×éÖ¯Öк˻ÆËصÄÖØÒª´æÔÚ´ó¾Ö¡£³¬¹ýÉí¶Î±ØÒªÁ¿µÄºË»ÆËØÖØÒª´ÓÉöÔàÉø³ö£¬²¿ÃÅ´úл²úÆ·Ò²´ÓÉöÔàÅųö¡£±¾Ò©¿Ú·þ»ò¼¡Èâ×¢ÉäµÄ°ëË¥ÆÚΪ66¡«84·ÖÖÓ¡£

¡¾Öü²Ø¡¿Õڹ⣬ÃÜ·â(10-30¡æ)±£Áô¡£

¡¾°ü×°¡¿Î÷ÁÔì¿×°£¬10Ö§/ºÐ¡£

¡¾ÓÐЧÆÚ¡¿24¸öÔÂ

¡¾Ö´Ðг߶ȡ¿WS1-XG-015-2020

¡¾ºË×¼Îĺš¿¹úÒ©×¼×ÖH20060747

¡¾ÉÏÊÐÐí¿É³ÖÓÐÈË¡¿Ãû³Æ£ºÉ½Î÷±ØÓ®ÑÇÖÞ̩ʢÔìÒ©ÓÐÏÞ¹«Ë¾

            ×¢²áµØÖ·£ºÉ½Î÷Ê¡´óͬÊо­¼Ã¼¼Êõ¿ª·¢ÇøµÚÒ»Ò½Ò©Ô°Çø

¡¾³ö²úÆóÒµ¡¿ÆóÒµÃû³Æ£ºÉ½Î÷±ØÓ®ÑÇÖÞ̩ʢÔìÒ©ÓÐÏÞ¹«Ë¾

        ³ö²úµØÖ·£ºÉ½Î÷Ê¡´óͬÊо­¼Ã¼¼Êõ¿ª·¢ÇøµÚÒ»Ò½Ò©Ô°Çø

        ÓÊÕþ±àÂ룺037300

        µç»°ºÅÂ룺0352¡ª7290991

        ´«ÕæºÅÂ룺0352¡ª7290990

a62d9e9d45e3a68358506f6728067e8c
×¢ÉäÓú˻ÆËØÁ×ËáÄÆ
¡¾³É¡¡¡¡·Ý¡¿±¾Æ·ÖØÒª³É·ÝΪºË»ÆËØÁ×ËáÄÆ¡£
¡¾Ö°ÄÜÖ÷ÖΡ¿ºË»ÆËز¹³ä¼Á¡£ÓÃÓÚÓɺ˻ÆËز»×ãÒýÆðµÄ³³×ìÑס¢´½Ñס¢ÉàÑס¢ÑÛ½áĤÑ×¼°ÒõÄÒÑ׵ȼ²²¡µÄÒ½ÖΡ£
¡¾¹æ¡¡¡¡¸ñ¡¿5mg¡¾°´ºË»ÆËØ£¨C17H20N4O6 )¼Æ¡¿
¡¾ºË×¼Îĺš¿¹úÒ©×¼×ÖH20060747
²úÆ·×¢Ã÷

¡¾Ò©Æ·Ãû³Æ¡¿Í¨ÓÃÃû³Æ£º×¢ÉäÓú˻ÆËØÁ×ËáÄÆ

Ó¢ÎÄÃû³Æ£ºRiboflavin Sodium Phosphatefor Injection

ººÓïÆ´Òô£ºZhusheyong Hehuangsu Linsuana

¡¾³É·Ý¡¿±¾Æ·ÖØÒª³É·ÝΪºË»ÆËØÁ×ËáÄÆ£¬Æä»¯Ì¨¸¦³ÆÎªºË»ÆËØ5 ¡¯Ò»£¨¶þÇâÁ×Ëáõ¥£©µ¥ÄÆÑζþË®ºÏÎï¡£

     Æä»¯Ñ§½á¹¹Ê½£º

×¢ÉäÓú˻ÆËØÁ×ËáÄÆ

     ·Ö×Óʽ£ºC17H20N4NaO9P¡¤2H2O

     ·Ö×ÓÁ¿£º514.36

     È«Êý¸¨ÁÏÃû³ÆÎª£º¸Ê¶´¼¡£

¡¾ÐÔ×´¡¿±¾Æ·Îª»ÆÉ«»ò³È»ÆÉ«ÊèËÉ¿é×´Îï»ò·ÛÄ©¡£

¡¾ÊÊÓ¦Ö¢¡¿ºË»ÆËز¹³ä¼Á¡£ÓÃÓÚÓɺ˻ÆËز»×ãÒýÆðµÄ³³×ìÑס¢´½Ñס¢ÉàÑס¢ÑÛ½áĤÑ×¼°ÒõÄÒÑ׵ȼ²²¡µÄÒ½ÖΡ£

¡¾¹æ¸ñ¡¿5mg¡¾°´ºË»ÆËØ£¨C17H20N4O6)¼Æ¡¿

¡¾Ó÷¨ÓÃÁ¿¡¿Æ¤Ï¡¢¼¡ÄÚ×¢Éä»ò¾²Âö×¢Éä¡£Ò»´Î5¡«30mg£¬Ò»ÈÕ1´Î¡£

¡¾²»Á¼·´Ó³¡¿1¡¢ÉöÖ°ÄÜÕý³£Ê±£¬±¾Ò©ÏÕЩ²»²úÉú¶¾ÐÔ¡£2¡¢±¾Æ·ÓÐÒÔϲ»Á¼·´Ó³¡£(1)Ƥ·ô¼°Æä¸½¼þ£ºÆ¤Õî¡¢ðþÑ÷¡¢¶àº¹µÈ £»(2)È«ÉíÐÔÇÖº¦£º·¢ÈÈ¡¢¸ßÈÈ¡¢ÐØÃÆ¡¢º®à䡢ηº®¡¢²Ò°×µÈ £»(3)θ³¦ÏµÍ³£º¶ñÐÄ¡¢Å»Í¡¢¸¹Í´µÈ £»(4)Éñ¾­ÏµÍ³£ºÍ·ÔΡ¢Í·Í´¡¢³é´¤¡¢ÂéľµÈ £»(5)ÐÄѪ¹Üϵͳ£º³±ºì¡¢Ðļ¡¢×Ï礵È £»(6)ºôÎüϵͳ£ººôÎü¼±´Ù¡¢±ïÆø¡¢¿ÈËÔ¡¢ºôÎüÄÑÌâµÈ £»(7)ÃâÒßÖ°ÄÜ´íÂÒ¼°Ï°È¾£º¹ýÃô·´Ó³¡¢¹ýÃôÑù·´Ó³¡¢¹ýÃôÐÔÐݿ˵È £»(8)ÆäËû£º¾²ÂöÑס¢×¢É䲿λÌÛÍ´¡¢·³Ôê¡¢ÑüÍ´µÈ¡£

¡¾½û¼É¡¿¶Ô±¾Æ·¼°Ëùº¬³É·Ý¹ýÃôÕß½ûÓá£

¡¾µ±¿àÖÔÏî¡¿´óÁ¿Ê¹Óñ¾Ò©ºóÄòÒº³Ê»ÆÉ«(»ò»ÆÂÌÉ«£©£¬Ò²¿ÉÒýÆðÀàËÆ¼××´ÏÙÖ°ÄÜ¿º½øÖ¢×´¡£

¡¾Ôи¾¼°²¸ÈéÆÚ¸¾Å®ÓÃÒ©¡¿±¾Ò©¶Ô»³Ì¥µÄÓ°ÏìÉв»Ã÷È·¡£±¾Ò©¿ÉÅÅйÈëÈéÖ­£¬µ«²¸ÈéÊǰ²È«µÄ¡£

¡¾¶ùͯÓÃÒ©¡¿Éв»Ã÷È·¡£

¡¾ÀÏÄêÓÃÒ©¡¿Éв»Ã÷È·¡£

¡¾Ò©ÎïÏ໥×÷Óῼ×ÑõÂÈÆÕ°·¿É½µµÍ±¾Ò©ÎüÊÕ¡£¹Ê²»Ò˺ÏÓá£

¡¾Ò©Îï¹ýÁ¿¡¿Éв»Ã÷È·¡£

¡¾Ò©Àí¶¾Àí¡¿Ò©Àí×÷Ó㺱¾Æ·ÎªÎ¬ÉúËØÀàÒ©¡£ºË»ÆËØ£¨Î¬ÉúËØB2£©ÊÇÈËÌå³ÁÒªÓªÑøËØ£¬ÔÚÄÜÁ¿´úлÖÐÆð¹Ø¼ü×÷Óᣱ¾Ò©Îª»ÆËص¥ºËÜÕËá( FMN£©ºÍ»ÆËØÏÙàÑßʶþºËÜÕËá( FA D )ǰÌåÒ©£¬¶øFMNºÍFADÊÇ»ÆËØÃ¸¼Ò×åµÄ³ÁÒª¸¨ÖúÒò×Ó¡ £»ÆËØÃ¸´ß»¯ºÃ¶àÉú»¯·´Ó³£¬×îµäÐ͵ÄΪÑõ»¯»¹Ô­·´Ó³£¬ËüÃÇÊÇϸ°ûºôÎüµÄ¹Ø¼üÒò×Ó¡£FADºÍFMNÔÚÏßÁ£Ì嶯µ¯Á´ÖеÝÇ⣬Ôڴ˹ý³ÌÖвúÉúϸ°ûÄÜÁ¿¡£²»×ãʱ¿ÉÓ°Ïì»úÌåµÄÉúÎïÑõ»¯£¬Ê¹´úл²úÉú×è°­£¬Æä²¡±ä¶à²û·¢Îª¿Ú¡¢ÑÛ¡¢±íÉúÖ³Æ÷²¿Î»µÄÑ×Ö¢¡£

¡¾Ò©´ú¶¯Á¦Ñ§¡¿ÎÞ±¾Ò©×¢Éä¸øÒ©µÄÒ©´ú¶¯Á¦Ñ§×ÊÁÏ¡£¾ÝÎļþ×ÊÁÏ£¬ºË»ÆËؿڷþºó£¬ÖØÒªÔÚ½ü¶ÎÓ׳¦ÎüÊÕ£¬Ê³Æ·ÄÜÍÆ½ø¸ÃÆ·ÎüÊÕ£¬µ¨Ñμӿì¸ÃÆ·ÎüÊÕ¡£ÔÚ2¡«25mg¼ÁÁ¿ÁìÓòÄÚ£¬ÆäÉúÎïÀûÓöÈΪ50¡«60%£¬µ¥´Î¿Ú·þµÄ×î´óÎüÊÕÁ¿Îª27mg£¬³¬Á¿²¿ÃÅ´Ó·à±ãÖÐÉø³ö¡ £»ÆËص¥ºËÜÕËᣨ FMN£©ºÍ»ÆËØÏÙàÑßʶþºËÜÕËá( FA D)ÎüÊÕ½ÏÉÙ¡£±¾Ò©¾­Ãž²ÂöÈë¸Î½øÈëѪҺѭ»·£¬ÔÙ´ïµ½×éÖ¯¡£´ó²¿ÃÅѪÇåºË»ÆËر»°×µ°°×»òÃâÒßÇòµ°°×תÔË£¬Í¨¹ýŨ¶ÈÌݶÈÃÖÉ¢ÖÁϸ°ûÄÚ¡£ÔÚϸ°ûÄÚ£¬ºË»ÆËØÍ¨¹ý»ÆËؼ¤Ã¸×ª»»ÎªFMN£¬FMNÓÖͨ¹ýFADºÏ³Éøת»»³ÉΪFAD£¬FADÊÇ×éÖ¯Öк˻ÆËصÄÖØÒª´æÔÚ´ó¾Ö¡£³¬¹ýÉí¶Î±ØÒªÁ¿µÄºË»ÆËØÖØÒª´ÓÉöÔàÉø³ö£¬²¿ÃÅ´úл²úÆ·Ò²´ÓÉöÔàÅųö¡£±¾Ò©¿Ú·þ»ò¼¡Èâ×¢ÉäµÄ°ëË¥ÆÚΪ66¡«84·ÖÖÓ¡£

¡¾Öü²Ø¡¿Õڹ⣬ÃÜ·â(10-30¡æ)±£Áô¡£

¡¾°ü×°¡¿Î÷ÁÔì¿×°£¬10Ö§/ºÐ¡£

¡¾ÓÐЧÆÚ¡¿24¸öÔÂ

¡¾Ö´Ðг߶ȡ¿WS1-XG-015-2020

¡¾ºË×¼Îĺš¿¹úÒ©×¼×ÖH20060747

¡¾ÉÏÊÐÐí¿É³ÖÓÐÈË¡¿Ãû³Æ£ºÉ½Î÷±ØÓ®ÑÇÖÞ̩ʢÔìÒ©ÓÐÏÞ¹«Ë¾

            ×¢²áµØÖ·£ºÉ½Î÷Ê¡´óͬÊо­¼Ã¼¼Êõ¿ª·¢ÇøµÚÒ»Ò½Ò©Ô°Çø

¡¾³ö²úÆóÒµ¡¿ÆóÒµÃû³Æ£ºÉ½Î÷±ØÓ®ÑÇÖÞ̩ʢÔìÒ©ÓÐÏÞ¹«Ë¾

        ³ö²úµØÖ·£ºÉ½Î÷Ê¡´óͬÊо­¼Ã¼¼Êõ¿ª·¢ÇøµÚÒ»Ò½Ò©Ô°Çø

        ÓÊÕþ±àÂ룺037300

        µç»°ºÅÂ룺0352¡ª7290991

        ´«ÕæºÅÂ룺0352¡ª7290990