jk.zdjt.com.png?v=1
8eff65654bbb185427781fffaa4d0372
×¢ÉäÓÃÁòË᳤´ºÐ¼î
¡¾³É¡¡¡¡·Ý¡¿±¾Æ·ÖØÒª³É·ÝΪÁòË᳤´ºÐ¼î ¡£
¡¾Ö°ÄÜÖ÷ÖΡ¿¼±ÐÔ°×Ѫ²¡£¬ÓÈÆäÊǶùͯ¼±ÐÔ°×Ѫ²¡£¬¶Ô¼±ÐÔÁܰÍϸ°û°×Ѫ²¡ÁÆÐ§ÏÔÖø ¡£
¡¾¹æ¡¡¡¡¸ñ¡¿1mg
¡¾ºË×¼Îĺš¿¹úÒ©×¼×ÖH14020811
²úÆ·×¢Ã÷

¡¾Ò©Æ·Ãû³Æ¡¿Í¨ÓÃÃû³Æ£º×¢ÉäÓÃÁòË᳤´ºÐ¼î

        Ó¢ÎÄÃû³Æ£ºVincristine Sulfate for Injection

        ººÓïÆ´Òô£ºZhusheyong LiusuanChangchunxinjian

¡¾³É·Ý¡¿±¾Æ·ÖØÒª³É·ÝΪÁòË᳤´ºÐ¼î ¡£

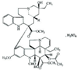
     Æä½á¹¹Ê½Îª£º

×¢ÉäÓÃÁòË᳤´ºÐ¼î

     ·Ö×Óʽ£ºC46H56N4O10¡¤H2SO4

     ·Ö×ÓÁ¿£º923.04

     È«Êý¸¨ÁÏÃû³ÆÎª£º¸Ê¶´¼

¡¾ÐÔ×´¡¿±¾Æ·Îª°×É«»òÀà°×É«µÄÊèËÉ×´»òÎÞ¶¨ÐιÌÌ壻ÓÐÒýʪÐÔ£»Óö¹â»òÈÈÒױ仯 ¡£

¡¾ÊÊÓ¦Ö¢¡¿1¡¢¼±ÐÔ°×Ѫ²¡£¬ÓÈÆäÊǶùͯ¼±ÐÔ°×Ѫ²¡£¬¶Ô¼±ÐÔÁܰÍϸ°û°×Ѫ²¡ÁÆÐ§ÏÔÖø ¡£2¡¢¶ñÐÔÁܰÍÁö ¡£3¡¢Éúֳϸ°ûÖ×Áö ¡£4¡¢Ó×ϸ°û·Î°©£¬ÓÈÎÄ׸Áö¡¢Éöĸϸ°ûÁö¡¢Éñ¾­Ä¸Ï¸°ûÁö ¡£5¡¢ÈéÏÙ°©¡¢ÂýÐÔÁܰÍϸ°û°×Ѫ²¡¡¢Ïû»¯Â·°©¡¢ÐþÉ«ËØÁö¼°¶à·¢ÐÔ¹ÇËèÁöµÈ ¡£

¡¾¹æ¸ñ¡¿1mg

¡¾Ó÷¨ÓÃÁ¿¡¿³ÉÈ˼ÁÁ¿1¡«2mg(»ò1.4mg/©O)×î´ó²»´óÓÚ2mg£¬´ºÇï´óÓÚ65ËêÕߣ¬×î´óÿ´Î1mg ¡£¶ùͯ75¦Ìg/kg»ò2.0mg/©O£¬Ã¿ÖÜ1´Î¾²Âö×¢Éä»òÍ»Èë ¡£½áºÏ»¯ÁÆÊÇÁ¬ÓÃ2ÖÜΪһÖÜÆÚ ¡£

¡¾²»Á¼·´Ó³¡¿1¡¢¼ÁÁ¿ÏÞ¶ÈÐÔ¶¾ÐÔÊÇÉñ¾­ÏµÍ³¶¾ÐÔ£¬ÖØÒªÒýÆð±íÖÜÉñ¾­Ö¢×´£¬ÈçÊÖÖ¸¡¢Éñ¾­¶¾ÐԵȣ¬ÓëÀÛ»ýÁ¿ÓÐ¹Ø ¡£×ãÖºÂéľ¡¢ëì·´Éä³Õ¶Û»òÒþû£¬±íÖÜÉñ¾­Ñ× ¡£¸¹Í´¡¢±ãÃØ£¬ÂéľÐÔ³¦¹£×èż¼û ¡£»î¶¯Éñ¾­¡¢¸Ð´¥Éñ¾­ºÍÄÔÉñ¾­Ò²¿ÉÊܵ½·ÛË飬²¢²úÉúÏàÓ¦Ö¢×´ ¡£Éñ¾­¶¾ÐÔ³£²úÉúÓÚ40ËêÒÔÉÏÕߣ¬¶ùͯµÄÄÍÊÜÐÔºÃÓÚ³ÉÈË£¬¶ñÐÔÁܰÍÁö²¡È˳öÏÖÉñ¾­¶¾ÐÔµÄÆ«²î¸ßÓÚÆäËûÖ×Áö²¡ÈË ¡£2¡¢¹ÇËèÒÖÔìºÍÏû»¯Â··´Ó³½ÏÇá ¡£3¡¢Óв¿ÃÅ×éÖ¯´Ì¼¤×÷Óã¬Ò©Òº²»Äܱí©£¬²»È»¿ÉÒýÆð²¿ÃÅ»µËÀ ¡£4¡¢¿É¼ûÍÑ·¢£¬Å¼¼ûѪѹµÄŤת ¡£

¡¾½û¼É¡¿Éв»Ã÷È· ¡£

¡¾µ±¿àÖÔÏî¡¿1¡¢½öÓÃÓÚ¾²Âö×¢É䣬©ÓÚÆ¤Ï¿ɵ¼ÖÂ×éÖ¯»µËÀ¡¢·äÎÑÖ¯Ñ× ¡£Ò»µ©Â©³ö»ò¿ÉÒɱí©£¬¸Ãµ±¼´ÖÕ³¡ÊäÒº£¬²¢ÓèÏàÓ¦´¦ÖÃ(²Î¿¼µª½æ±í©µÄ´¦ÖÃ) ¡£2¡¢Ô¤·ÀÒ©Òº½¦ÈëÑÛÄÚ£¬Ò»µ©²úÉú¸Ãµ±¼´ÓôóÁ¿ÉúÀíÑÎË®³åË¢£¬ÒÔÀ´ÀûÓõØÈûÃ×ËÉÑ۸ౣ»¤ ¡£3¡¢Í»Èë¾²ÂöʱԤ·ÀÈÕ¹âÖ±½ÓÕÕÉä ¡£4¡¢¸ÎÖ°ÄÜÒ쳣ʱ¼õÁ¿Ê¹Óà ¡£

¡¾Ôи¾¼°²¸ÈéÆÚ¸¾Å®ÓÃÒ©¡¿Éв»Ã÷È· ¡£

¡¾¶ùͯÓÃÒ©¡¿Éв»Ã÷È· ¡£

¡¾ÀÏÄêÓÃÒ©¡¿Éв»Ã÷È· ¡£

¡¾Ò©ÎïÏ໥×÷Óá¿1¡¢ßÁ¿©ÏµÁп¹Õæ¾ú¼Á(ÒÁÇú¿µßò)£¬Ôö³¤¼¡ÈâÉñ¾­ÏµÍ³µÄ¸±×÷Óà ¡£Èç·¢ÏÖÓи±×÷Óã¬Ó¦½øÐмõÁ¿¡¢ÔÝÍ£»òÍ£Ò©µÈÊʵ±´¦Öà ¡£ÒÁÇú¿µßòÓйÊÕϸÎϸ°ûÉ«ËØP-450 3AµÄ×÷Ó㬳¤´ºÐ¼îͨ¹ý¸Îϸ°ûÈ¾É«ËØP-450 3A´úл£¬ºÏÓÿÉʹ³¤´ºÐ¼î´úлÊÜÒÖÔì ¡£2¡¢Óë±½Í×ӢįºÏÓ㬽µµÍ±½Í×ӢįÎüÊÕ£¬»òʹ´úл¿º½ø ¡£3¡¢Ó뺬²¬µÄ¿¹ÑÇ¡¢¶ñÐÔÖ×Áö¼ÁºÏÓ㬿ÉÄܼÓÇ¿µÚ8¶ÔÄÔÉñ¾­×è°­ ¡£4¡¢ÓëL-Ì춬õ£°·Ã¸ºÏÓ㬿ÉÄܼÓÇ¿Éñ¾­ÏµÍ³¼°ÑªÒºÏµÍ³µÄ×è°­ ¡£Îª½«¶¾ÐÔ½ÚÔìµ½×îÓ×£¬¿É½«ÁòË᳤´ºÐ¼îÔÚL-Ì춬õ£°·Ã¸¸øÒ©Ç°12¡«24Ó×ʱÒÔǰʹÓà ¡£

¡¾Ò©Îï¹ýÁ¿¡¿Éв»Ã÷È· ¡£

¡¾Ò©Àí¶¾Àí¡¿³¤´ºÐ¼îΪ¼ÐÖñÌÒ¿ÆÖ²Îﳤ´º»¨ÖÐÌáÈ¡µÄÓÐЧ³É·Ö ¡ £¿¹Ö×Áö×÷ÓðеãÊÇ΢¹Ü£¬ÖØÒªÒÖÔì΢¹Üµ°°×µÄ¾ÛºÏ¶øÓ°Ïì·Ä´¸Ìå΢¹ÜµÄÐÎ³É ¡£Ê¹ÓÐË¿¸îÁÑÖÕ³¡ÓÚÖÐÆÚ ¡£»¹¿É×ÌÈŵ°°×ÖÊ´úл¼°ÒÖÔìRNA¶à¾ÛøµÄ»îÁ¦£¬²¢ÒÖÔìϸ°ûĤÀàÖ¬ÖʵĺϳɺͰ±»ùËáÔÚϸ°ûĤÉϵÄתÔË ¡£³¤´ºÐ¼î¶ÔÒÆÖ²ÐÔÖ×ÁöµÄÒÖÔì×÷ÓôóÓÚ³¤´º»¨¼îÇÒ¿¹ÁöÆ×¹ã ¡£³ý¶Ô³¤´º»¨¼îÃô¸ÐµÄÁöÖêÓÐЧ±í£¬¶ÔÓ×ÊóRidgeway³É¹Ç׸Áö¡¢MeccaÁܰÍ׸Áö¡¢X-5563¹ÇËèÁöµÈÒ²ÓÐ×÷Óà ¡£³¤´ºÐ¼³¤´º»¨¼îºÍ³¤´ºµØÐÁÈýÕß¼äÎÞ½»²æÄÍÒ©¾°Ï󣬳¤´ºÐ¼îÉñ¾­¶¾ÐÔÔÚÈýÕßÖÐ×îÇ¿ ¡£

¡¾Ò©´ú¶¯Á¦Ñ§¡¿¾²×¢³¤´ºÐ¼îºóѸ¿ìÉ¢²¼ÓÚ¸÷×éÖ¯£¬Éñ¾­Ï¸°ûÄÚŨ¶È½Ï¸ß£¬ºÜÉÙ͸¹ýѪÄÔ·®À飬ÄÔ¼¹ÒºÅ¨¶ÈÊÇѪ½¬Å¨¶ÈµÄ1/30¡«1/20 ¡£µ°°×½áºÏÂÊ75% ¡£ÔÚ³ÉÈË£¬T1/2¦ÁÓ×ÓÚ5·ÖÖÓ£¬T1/2¦ÂΪ50¡«155·ÖÖÓ£¬Ä©ÉÒ½â³ýÏàT1/2¦Ã³¤´ï85Ó×ʱ ¡£ÔÚ¸ÎÄÚ´úл£¬ÔÚµ¨Ö­ÖÐŨ¶È×î¸ß£¬ÖØÒªË浨֭Åųö£¬·à±ãÉø³ö70%£¬ÄòÖÐÉø³ö5%¡«16% ¡£³¤´ºÐ¼îÄÜÑ¡ÔñÐԵؼ¯ÖÐÔÚ°©×éÖ¯£¬¿ÉʹÔöֳϸ°ûͬ²½»¯£¬½ø¶øÊ¹¿¹Ö×ÁöÒ©ÎïÔöЧ ¡£

¡¾Öü²Ø¡¿Õڹ⣬ÃܹØ£¬ÔÚÀä´¦(2-10¡æ)±£Áô ¡£

¡¾°ü×°¡¿Î÷ÁÔì¿×° ¡£10Ö§/ºÐ ¡£

¡¾ÓÐЧÆÚ¡¿24¸öÔÂ

¡¾Ö´Ðг߶ȡ¿¡¶ÖйúÒ©µä¡·2015Äê°æµÚÒ»²¹³ä±¾

¡¾ºË×¼Îĺš¿¹úÒ©×¼×ÖH14020811

¡¾³ö²úÆóÒµ¡¿ÆóÒµÃû³Æ£ºÉ½Î÷±ØÓ®ÑÇÖÞ̩ʢÔìÒ©ÓÐÏÞ¹«Ë¾

        ³ö²úµØÖ·£ºÉ½Î÷Ê¡´óͬÊо­¼Ã¼¼Êõ¿ª·¢ÇøµÚÒ»Ò½Ò©Ô°Çø

        ÓÊÕþ±àÂ룺037300

        µç»°ºÅÂ룺0352¡ª7290991

        ´«ÕæºÅÂ룺0352¡ª7290990

8eff65654bbb185427781fffaa4d0372
×¢ÉäÓÃÁòË᳤´ºÐ¼î
¡¾³É¡¡¡¡·Ý¡¿±¾Æ·ÖØÒª³É·ÝΪÁòË᳤´ºÐ¼î ¡£
¡¾Ö°ÄÜÖ÷ÖΡ¿¼±ÐÔ°×Ѫ²¡£¬ÓÈÆäÊǶùͯ¼±ÐÔ°×Ѫ²¡£¬¶Ô¼±ÐÔÁܰÍϸ°û°×Ѫ²¡ÁÆÐ§ÏÔÖø ¡£
¡¾¹æ¡¡¡¡¸ñ¡¿1mg
¡¾ºË×¼Îĺš¿¹úÒ©×¼×ÖH14020811
²úÆ·×¢Ã÷

¡¾Ò©Æ·Ãû³Æ¡¿Í¨ÓÃÃû³Æ£º×¢ÉäÓÃÁòË᳤´ºÐ¼î

        Ó¢ÎÄÃû³Æ£ºVincristine Sulfate for Injection

        ººÓïÆ´Òô£ºZhusheyong LiusuanChangchunxinjian

¡¾³É·Ý¡¿±¾Æ·ÖØÒª³É·ÝΪÁòË᳤´ºÐ¼î ¡£

     Æä½á¹¹Ê½Îª£º

×¢ÉäÓÃÁòË᳤´ºÐ¼î

     ·Ö×Óʽ£ºC46H56N4O10¡¤H2SO4

     ·Ö×ÓÁ¿£º923.04

     È«Êý¸¨ÁÏÃû³ÆÎª£º¸Ê¶´¼

¡¾ÐÔ×´¡¿±¾Æ·Îª°×É«»òÀà°×É«µÄÊèËÉ×´»òÎÞ¶¨ÐιÌÌ壻ÓÐÒýʪÐÔ£»Óö¹â»òÈÈÒױ仯 ¡£

¡¾ÊÊÓ¦Ö¢¡¿1¡¢¼±ÐÔ°×Ѫ²¡£¬ÓÈÆäÊǶùͯ¼±ÐÔ°×Ѫ²¡£¬¶Ô¼±ÐÔÁܰÍϸ°û°×Ѫ²¡ÁÆÐ§ÏÔÖø ¡£2¡¢¶ñÐÔÁܰÍÁö ¡£3¡¢Éúֳϸ°ûÖ×Áö ¡£4¡¢Ó×ϸ°û·Î°©£¬ÓÈÎÄ׸Áö¡¢Éöĸϸ°ûÁö¡¢Éñ¾­Ä¸Ï¸°ûÁö ¡£5¡¢ÈéÏÙ°©¡¢ÂýÐÔÁܰÍϸ°û°×Ѫ²¡¡¢Ïû»¯Â·°©¡¢ÐþÉ«ËØÁö¼°¶à·¢ÐÔ¹ÇËèÁöµÈ ¡£

¡¾¹æ¸ñ¡¿1mg

¡¾Ó÷¨ÓÃÁ¿¡¿³ÉÈ˼ÁÁ¿1¡«2mg(»ò1.4mg/©O)×î´ó²»´óÓÚ2mg£¬´ºÇï´óÓÚ65ËêÕߣ¬×î´óÿ´Î1mg ¡£¶ùͯ75¦Ìg/kg»ò2.0mg/©O£¬Ã¿ÖÜ1´Î¾²Âö×¢Éä»òÍ»Èë ¡£½áºÏ»¯ÁÆÊÇÁ¬ÓÃ2ÖÜΪһÖÜÆÚ ¡£

¡¾²»Á¼·´Ó³¡¿1¡¢¼ÁÁ¿ÏÞ¶ÈÐÔ¶¾ÐÔÊÇÉñ¾­ÏµÍ³¶¾ÐÔ£¬ÖØÒªÒýÆð±íÖÜÉñ¾­Ö¢×´£¬ÈçÊÖÖ¸¡¢Éñ¾­¶¾ÐԵȣ¬ÓëÀÛ»ýÁ¿ÓÐ¹Ø ¡£×ãÖºÂéľ¡¢ëì·´Éä³Õ¶Û»òÒþû£¬±íÖÜÉñ¾­Ñ× ¡£¸¹Í´¡¢±ãÃØ£¬ÂéľÐÔ³¦¹£×èż¼û ¡£»î¶¯Éñ¾­¡¢¸Ð´¥Éñ¾­ºÍÄÔÉñ¾­Ò²¿ÉÊܵ½·ÛË飬²¢²úÉúÏàÓ¦Ö¢×´ ¡£Éñ¾­¶¾ÐÔ³£²úÉúÓÚ40ËêÒÔÉÏÕߣ¬¶ùͯµÄÄÍÊÜÐÔºÃÓÚ³ÉÈË£¬¶ñÐÔÁܰÍÁö²¡È˳öÏÖÉñ¾­¶¾ÐÔµÄÆ«²î¸ßÓÚÆäËûÖ×Áö²¡ÈË ¡£2¡¢¹ÇËèÒÖÔìºÍÏû»¯Â··´Ó³½ÏÇá ¡£3¡¢Óв¿ÃÅ×éÖ¯´Ì¼¤×÷Óã¬Ò©Òº²»Äܱí©£¬²»È»¿ÉÒýÆð²¿ÃÅ»µËÀ ¡£4¡¢¿É¼ûÍÑ·¢£¬Å¼¼ûѪѹµÄŤת ¡£

¡¾½û¼É¡¿Éв»Ã÷È· ¡£

¡¾µ±¿àÖÔÏî¡¿1¡¢½öÓÃÓÚ¾²Âö×¢É䣬©ÓÚÆ¤Ï¿ɵ¼ÖÂ×éÖ¯»µËÀ¡¢·äÎÑÖ¯Ñ× ¡£Ò»µ©Â©³ö»ò¿ÉÒɱí©£¬¸Ãµ±¼´ÖÕ³¡ÊäÒº£¬²¢ÓèÏàÓ¦´¦ÖÃ(²Î¿¼µª½æ±í©µÄ´¦ÖÃ) ¡£2¡¢Ô¤·ÀÒ©Òº½¦ÈëÑÛÄÚ£¬Ò»µ©²úÉú¸Ãµ±¼´ÓôóÁ¿ÉúÀíÑÎË®³åË¢£¬ÒÔÀ´ÀûÓõØÈûÃ×ËÉÑ۸ౣ»¤ ¡£3¡¢Í»Èë¾²ÂöʱԤ·ÀÈÕ¹âÖ±½ÓÕÕÉä ¡£4¡¢¸ÎÖ°ÄÜÒ쳣ʱ¼õÁ¿Ê¹Óà ¡£

¡¾Ôи¾¼°²¸ÈéÆÚ¸¾Å®ÓÃÒ©¡¿Éв»Ã÷È· ¡£

¡¾¶ùͯÓÃÒ©¡¿Éв»Ã÷È· ¡£

¡¾ÀÏÄêÓÃÒ©¡¿Éв»Ã÷È· ¡£

¡¾Ò©ÎïÏ໥×÷Óá¿1¡¢ßÁ¿©ÏµÁп¹Õæ¾ú¼Á(ÒÁÇú¿µßò)£¬Ôö³¤¼¡ÈâÉñ¾­ÏµÍ³µÄ¸±×÷Óà ¡£Èç·¢ÏÖÓи±×÷Óã¬Ó¦½øÐмõÁ¿¡¢ÔÝÍ£»òÍ£Ò©µÈÊʵ±´¦Öà ¡£ÒÁÇú¿µßòÓйÊÕϸÎϸ°ûÉ«ËØP-450 3AµÄ×÷Ó㬳¤´ºÐ¼îͨ¹ý¸Îϸ°ûÈ¾É«ËØP-450 3A´úл£¬ºÏÓÿÉʹ³¤´ºÐ¼î´úлÊÜÒÖÔì ¡£2¡¢Óë±½Í×ӢįºÏÓ㬽µµÍ±½Í×ӢįÎüÊÕ£¬»òʹ´úл¿º½ø ¡£3¡¢Ó뺬²¬µÄ¿¹ÑÇ¡¢¶ñÐÔÖ×Áö¼ÁºÏÓ㬿ÉÄܼÓÇ¿µÚ8¶ÔÄÔÉñ¾­×è°­ ¡£4¡¢ÓëL-Ì춬õ£°·Ã¸ºÏÓ㬿ÉÄܼÓÇ¿Éñ¾­ÏµÍ³¼°ÑªÒºÏµÍ³µÄ×è°­ ¡£Îª½«¶¾ÐÔ½ÚÔìµ½×îÓ×£¬¿É½«ÁòË᳤´ºÐ¼îÔÚL-Ì춬õ£°·Ã¸¸øÒ©Ç°12¡«24Ó×ʱÒÔǰʹÓà ¡£

¡¾Ò©Îï¹ýÁ¿¡¿Éв»Ã÷È· ¡£

¡¾Ò©Àí¶¾Àí¡¿³¤´ºÐ¼îΪ¼ÐÖñÌÒ¿ÆÖ²Îﳤ´º»¨ÖÐÌáÈ¡µÄÓÐЧ³É·Ö ¡ £¿¹Ö×Áö×÷ÓðеãÊÇ΢¹Ü£¬ÖØÒªÒÖÔì΢¹Üµ°°×µÄ¾ÛºÏ¶øÓ°Ïì·Ä´¸Ìå΢¹ÜµÄÐÎ³É ¡£Ê¹ÓÐË¿¸îÁÑÖÕ³¡ÓÚÖÐÆÚ ¡£»¹¿É×ÌÈŵ°°×ÖÊ´úл¼°ÒÖÔìRNA¶à¾ÛøµÄ»îÁ¦£¬²¢ÒÖÔìϸ°ûĤÀàÖ¬ÖʵĺϳɺͰ±»ùËáÔÚϸ°ûĤÉϵÄתÔË ¡£³¤´ºÐ¼î¶ÔÒÆÖ²ÐÔÖ×ÁöµÄÒÖÔì×÷ÓôóÓÚ³¤´º»¨¼îÇÒ¿¹ÁöÆ×¹ã ¡£³ý¶Ô³¤´º»¨¼îÃô¸ÐµÄÁöÖêÓÐЧ±í£¬¶ÔÓ×ÊóRidgeway³É¹Ç׸Áö¡¢MeccaÁܰÍ׸Áö¡¢X-5563¹ÇËèÁöµÈÒ²ÓÐ×÷Óà ¡£³¤´ºÐ¼³¤´º»¨¼îºÍ³¤´ºµØÐÁÈýÕß¼äÎÞ½»²æÄÍÒ©¾°Ï󣬳¤´ºÐ¼îÉñ¾­¶¾ÐÔÔÚÈýÕßÖÐ×îÇ¿ ¡£

¡¾Ò©´ú¶¯Á¦Ñ§¡¿¾²×¢³¤´ºÐ¼îºóѸ¿ìÉ¢²¼ÓÚ¸÷×éÖ¯£¬Éñ¾­Ï¸°ûÄÚŨ¶È½Ï¸ß£¬ºÜÉÙ͸¹ýѪÄÔ·®À飬ÄÔ¼¹ÒºÅ¨¶ÈÊÇѪ½¬Å¨¶ÈµÄ1/30¡«1/20 ¡£µ°°×½áºÏÂÊ75% ¡£ÔÚ³ÉÈË£¬T1/2¦ÁÓ×ÓÚ5·ÖÖÓ£¬T1/2¦ÂΪ50¡«155·ÖÖÓ£¬Ä©ÉÒ½â³ýÏàT1/2¦Ã³¤´ï85Ó×ʱ ¡£ÔÚ¸ÎÄÚ´úл£¬ÔÚµ¨Ö­ÖÐŨ¶È×î¸ß£¬ÖØÒªË浨֭Åųö£¬·à±ãÉø³ö70%£¬ÄòÖÐÉø³ö5%¡«16% ¡£³¤´ºÐ¼îÄÜÑ¡ÔñÐԵؼ¯ÖÐÔÚ°©×éÖ¯£¬¿ÉʹÔöֳϸ°ûͬ²½»¯£¬½ø¶øÊ¹¿¹Ö×ÁöÒ©ÎïÔöЧ ¡£

¡¾Öü²Ø¡¿Õڹ⣬ÃܹØ£¬ÔÚÀä´¦(2-10¡æ)±£Áô ¡£

¡¾°ü×°¡¿Î÷ÁÔì¿×° ¡£10Ö§/ºÐ ¡£

¡¾ÓÐЧÆÚ¡¿24¸öÔÂ

¡¾Ö´Ðг߶ȡ¿¡¶ÖйúÒ©µä¡·2015Äê°æµÚÒ»²¹³ä±¾

¡¾ºË×¼Îĺš¿¹úÒ©×¼×ÖH14020811

¡¾³ö²úÆóÒµ¡¿ÆóÒµÃû³Æ£ºÉ½Î÷±ØÓ®ÑÇÖÞ̩ʢÔìÒ©ÓÐÏÞ¹«Ë¾

        ³ö²úµØÖ·£ºÉ½Î÷Ê¡´óͬÊо­¼Ã¼¼Êõ¿ª·¢ÇøµÚÒ»Ò½Ò©Ô°Çø

        ÓÊÕþ±àÂ룺037300

        µç»°ºÅÂ룺0352¡ª7290991

        ´«ÕæºÅÂ룺0352¡ª7290990