jk.zdjt.com.png?v=1
b6183f9d0870ef40a43b96b1defef12d
盐酸川芎嗪氯化钠注射液
【成  份】本品的重要成份为盐酸川芎嗪
【职能主治】用于医治缺血性脑血管病如脑供血不及 ,脑血栓形成 ,脑栓塞及其它缺血性血管疾病如冠状动脉粥样硬化性心脏病、脉管炎等。
【规  格】100ml:盐酸川芎嗪40mg与氯化钠0.9g
【核准文号】国药准字H20010273
产品注明

【药品名称】通用名称:盐酸川芎嗪氯化钠注射液

        英文名称:Ligustrazine Hydrochloride and Sodium Chloride lnjection

        汉语拼音:Yansuan ChuanxiongqinLuhuana Zhusheye

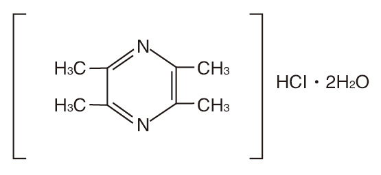
【成份】本品的重要成份为盐酸川芎嗪。其化台甫称为:2 ,3 ,5 ,6-四甲基吡嗪盐酸盐二水化合物。

     其结构式为:

盐酸川芎嗪氯化钠注射液

     分子式:C8H12N2·HCL·2H2O

     分子量:208.69

【性状】本品为无色或险些无色的澄明液体。

【适应症】用于医治缺血性脑血管病如脑供血不及 ,脑血栓形成 ,脑栓塞及其它缺血性血管疾病如冠状动脉粥样硬化性心脏病、脉管炎等。

【规格】100ml:盐酸川芎嗪40mg与氯化钠0.9g。

【用法用量】静脉滴注 ,一次200ml(含盐酸川芎嗪80mg) ,缓慢滴注 ,逐日一次 ,或遵医嘱。

【不良反映】偶有口干、嗜睡等。

【禁忌】对本品过敏者禁用 ,脑出血及有出血偏差的患者禁用。

【当苦衷项】1.脑水肿患者禁用。2.不得与碱性药物配伍静点使用。

【孕妇及哺乳期妇女用药】孕妇禁用 ,哺乳期妇女利用本品需衡量利弊。

【儿童用药】儿童不推荐使用。

【老年用药】可按通例利用 ,或遵医嘱。

【药物相互作用】不得与碱性药物配伍静滴使用。

【药物过量】尚不足此方面资料 ,如过量需对症医治。

【药理毒理】本品拥有抗血幼板荟萃、并对已荟萃的血幼板有解聚作用。此表尚有扩张幼动脉 ,改善微循环和增长脑血流量 ,从而产生抗血栓形成和溶血栓的作用。

【药代动力学】未进行该项尝试且无靠得住参考文件。

【贮藏】密关(10~30℃) ,室温保留。

【包装】输液瓶装。60瓶/箱。

【有效期】24个月

【执行尺度】WS1-(X-113)-2003Z

【核准文号】国药准字H20010273

【药品上市许可持有人】山西必赢亚洲泰盛造药有限公司

【药品上市许可持有人地址】山西省大同市经济技术开发区第一医药园区

【出产企业】企业名称:山西必赢亚洲泰盛造药有限公司

        出产地址:山西省大同市经济技术开发区第一医药园区

        邮政编码:037300

        电话号码:0352-7290991

        传真号码:0352-7290990

b6183f9d0870ef40a43b96b1defef12d
盐酸川芎嗪氯化钠注射液
【成  份】本品的重要成份为盐酸川芎嗪
【职能主治】用于医治缺血性脑血管病如脑供血不及 ,脑血栓形成 ,脑栓塞及其它缺血性血管疾病如冠状动脉粥样硬化性心脏病、脉管炎等。
【规  格】100ml:盐酸川芎嗪40mg与氯化钠0.9g
【核准文号】国药准字H20010273
产品注明

【药品名称】通用名称:盐酸川芎嗪氯化钠注射液

        英文名称:Ligustrazine Hydrochloride and Sodium Chloride lnjection

        汉语拼音:Yansuan ChuanxiongqinLuhuana Zhusheye

【成份】本品的重要成份为盐酸川芎嗪。其化台甫称为:2 ,3 ,5 ,6-四甲基吡嗪盐酸盐二水化合物。

     其结构式为:

盐酸川芎嗪氯化钠注射液

     分子式:C8H12N2·HCL·2H2O

     分子量:208.69

【性状】本品为无色或险些无色的澄明液体。

【适应症】用于医治缺血性脑血管病如脑供血不及 ,脑血栓形成 ,脑栓塞及其它缺血性血管疾病如冠状动脉粥样硬化性心脏病、脉管炎等。

【规格】100ml:盐酸川芎嗪40mg与氯化钠0.9g。

【用法用量】静脉滴注 ,一次200ml(含盐酸川芎嗪80mg) ,缓慢滴注 ,逐日一次 ,或遵医嘱。

【不良反映】偶有口干、嗜睡等。

【禁忌】对本品过敏者禁用 ,脑出血及有出血偏差的患者禁用。

【当苦衷项】1.脑水肿患者禁用。2.不得与碱性药物配伍静点使用。

【孕妇及哺乳期妇女用药】孕妇禁用 ,哺乳期妇女利用本品需衡量利弊。

【儿童用药】儿童不推荐使用。

【老年用药】可按通例利用 ,或遵医嘱。

【药物相互作用】不得与碱性药物配伍静滴使用。

【药物过量】尚不足此方面资料 ,如过量需对症医治。

【药理毒理】本品拥有抗血幼板荟萃、并对已荟萃的血幼板有解聚作用。此表尚有扩张幼动脉 ,改善微循环和增长脑血流量 ,从而产生抗血栓形成和溶血栓的作用。

【药代动力学】未进行该项尝试且无靠得住参考文件。

【贮藏】密关(10~30℃) ,室温保留。

【包装】输液瓶装。60瓶/箱。

【有效期】24个月

【执行尺度】WS1-(X-113)-2003Z

【核准文号】国药准字H20010273

【药品上市许可持有人】山西必赢亚洲泰盛造药有限公司

【药品上市许可持有人地址】山西省大同市经济技术开发区第一医药园区

【出产企业】企业名称:山西必赢亚洲泰盛造药有限公司

        出产地址:山西省大同市经济技术开发区第一医药园区

        邮政编码:037300

        电话号码:0352-7290991

        传真号码:0352-7290990