jk.zdjt.com.png?v=1
dc95a3f37d31f224fc4ef1dd0bf6e25f
×¢ÉäÓÃά¿âäåï§
¡¾³É¡¡¡¡·Ý¡¿Î¬¿âäåï§
¡¾Ö°ÄÜÖ÷ÖΡ¿ÖØÒª×÷ΪȫÉíÂé×í¸¨ÖúÓÃÒ©£¬ÓÃÓÚÈ«ÂéʱµÄÆø¹Ü²å¹Ü¼°ÊÖÊõÖеÄËɳڼ¡Èâ¡£
¡¾¹æ¡¡¡¡¸ñ¡¿4mg
¡¾ºË×¼Îĺš¿¹úÒ©×¼×ÖH20065437
²úÆ·×¢Ã÷

¡¾Ò©Æ·Ãû³Æ¡¿Í¨ÓÃÃû³Æ£º×¢ÉäÓÃά¿âäåï§

        Ó¢ÎÄÃû³Æ£ºVecuronium Bromide for Injection

        ººÓïÆ´ÒôÃû£ºZhusheyong Weikuxiu'an

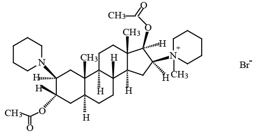
¡¾³É·Ý¡¿±¾Æ·ÖØÒª³É·ÝΪά¿âäåï§£¬Æä»¯Ì¨¸¦³ÆÎªä廯1-[3¦Á£¬17¦Â-¶þÒÒõ£Ñõ»ù-2-¦Â(1-ßßऻù)-5¦Á-ÐÛçÞÍé-16¦Â-»ù]-1-¼×»ùßßड£

      Æä½á¹¹Ê½Îª£º

×¢ÉäÓÃά¿âäåï§

      ·Ö×Óʽ£ºC34H57BrN2O4

      ·Ö×ÓÁ¿£º637.73

¡¾ÐÔ×´¡¿±¾Æ·Îª°×É«»òÀà°×É«ÊèËÉ×´Îï¡£

¡¾ÊÊÓ¦Ö¢¡¿ÖØÒª×÷ΪȫÉíÂé×í¸¨ÖúÓÃÒ©£¬ÓÃÓÚÈ«ÂéʱµÄÆø¹Ü²å¹Ü¼°ÊÖÊõÖеÄËɳڼ¡Èâ¡£

¡¾¹æ¸ñ¡¿4mg

¡¾Ó÷¨ÓÃÁ¿¡¿±¾Æ·½ö¹©¾²Âö×¢Éä»ò¾²ÂöµÎעʹÓᣲå¹Ü¼ÁÁ¿£º0.08-0.1mg/kg¡£ÓÃçúçêõ£µ¨¼îÐÐÆø¹Ü²å¹ÜºóËùÐèµÄ³õ´Î¼ÁÁ¿£º±¾Æ·0.03-0.05mg/kgÈôÊÇÀûÓÃçúçêõ£µ¨¼î²å¹Üʱ£¬Ó¦´ý¶Ô»¼ÕßÁÙ´²×÷ÓÃÏûÍ˺óÔÙʹÓñ¾Æ·¡£Î¬³Ö¼ÁÁ¿£º±¾Æ·0.02-0.03mg/kg×îºÃÔÚ²ü´¤¸ß¶È¸´Ô­µ½¶ÔÕÕÖµµÄ25%ʱÔÙ×·¼Óά³Ö¼ÁÁ¿¡£ÈçÆäËûÉñ¾­¼¡Èâ×è¶ÏÒ©Ò»Ñù£¬ÆäÓÃÁ¿Ó¦Ë没È˶øÒì¡£Áí±í£¬Âé×í²½Öè¡¢ÊÖÊõ¹¦·ò¡¢Êõǰ»òÂé×íÊÖÊõÖÐʹÓÃÆäËûÒ©ÎïµÄÓ°ÏìºÍ²¡È˵ÄÇé¿ö¶¼Ðè¼ÓÒÔ˼¿¼¡£Ó¦Ê¹ÓÃÄ©ÉÒÉñ¾­´Ì¼¤Æ÷¼à²âÉñ¾­¼¡Èâ×èÖͼ°¸´Ô­Ë®Æ½¡ £»ò×ñÒ½Öö¡£

¡¾²»Á¼·´Ó³¡¿ÏÂÁÐÓÉά¿âäåï§Ëù²úÉúµÄÒ©Îï²»Á¼·´Ó³ÔÚ²úÆ·µÄÉÏÊкó¼à²âÖл㱨£¬²úÉúÂʼ«¶Èº±¼û£¬µÍÓÚ1/10000¡£1¡¢Éñ¾­¼¡Èâ×èÖÍ×÷Óõ¢¸é·ÇÈ¥¼«»¯×è¶ÏÒ©Îï×î³£¼ûµÄ²»Á¼·´Ó³ÊÇÒ©ÎïµÄÒ©Àí×÷Óõ¢¸é£¬³¬¹ýÁËËù±ØÒªµÄ×÷Óù¦·ò¡£ÕâÖÖ×÷ÓûáÓÐ·ÖÆçµÄÁÙ´²²û·¢£¬´Ó¼¡ÎÞÁ¦µ½Òò³¤¹¦·òµÄÉî¶È¼¡Âéľ¶øµ¼ÖºôÎüÖ°Äܲ»È«»òȱÑõ¡£2¡¢¹ýÃô·´Ó³Ö»¹ÜÔ̺¬±¾Æ·ÔÚÄÚµÄÉñ¾­¼¡Èâ×è¶ÏÒ©²úÉúÑϳÁ¹ýÃô·´Ó³µÄ²¡Àý¼«¶Èº±¼û£¬µ«ÁÙ´²ÒÑÓб¨Â·£¬³öÏֵĹýÃô/Àà¹ýÃô·´Ó³Ô̺¬£ºÖ§Æø¹Ü¾·ÂΣ¬ÐÄѪ¹ÜŤת(ÀýÈ磺µÍѪѹ£¬Ð͝¹ý¿ì£¬Ñ­»·Ë¥½ßÉõÖÁÐÝ¿Ë)£¬Æ¤·ôŤת(ÀýÈçѪ¹ÜÉñ¾­ÐÔË®Ö×£¬Ý¡ÂéÕî)¡£ÕâЩ·´Ó³ÔÚijЩ²¡ÀýÉõÖÁÊÇÖÂËÀÐԵġ£¼øÓÚÕâЩ·´Ó³¿ÉÄܵÄÑϳÁÐÔ£¬ÁÙ´²Ò½ÉúÓ¦¼Ù¶¨²»Á¼·´Ó³»á²úÉú£¬²¢²ÉÈ¡±ØÒªµÄÔ¤·À´ëÊ©¡£3¡¢×é°·¿ªÊÍÓëÀà×é°··´Ó³¶àËùÖÜÖª£¬Éñ¾­¼¡Èâ×è¶ÏÒ©Îï¶Ô²¿ÃÅ×¢É䲿λ¼°È«ÉíÓÕµ¼×éÖ¯°·¿ªÊÍ£¬Òò¶øÔÚʹÓÃÕâЩҩÎïµÄ¹ý³ÌÖУ¬Ó¦¸Ã˼¿¼µ½¿ÉÄÜ»á²úÉú×¢É䲿λµÄɦÑ÷¼°ºì°ß·´Ó³ºÍ/»òÈ«ÉíÐÔÀà×é°·(Àà¹ýÃô)·´Ó³(Ò²¿É°Ý¼ûÉÏÊö¹ýÃô·´Ó³)¡£Æ¤ÄÚ×¢É䱾ƷµÄÊÔÑé×êÑÐÅú×¢£¬¸ÃÒ©½öÒýÆð²¿ÃÅÇá΢µÄ×éÖ¯°·¿ªÊÍ¡£ÔÚÈËÌåµÄ¶ÔÕÕ×êÑÐÖУ¬Òàδ֤Ã÷¾²Âö×¢É䱾Ʒºó£¬Ñª½¬×éÖ¯°·Ë®Æ½ÓÐÏÔÖøÉý¸ß¡£Ö»¹ÜÈç´Ë£¬ÔÚ¸ÃÒ©¿í·ºÀûÓõÄÇé¿öÏ£¬ÈÔżÓÐÕâÀà·´Ó³²úÉúµÄ±¨Â·¡£

¡¾½û¼É¡¿¶Ô±¾Æ·»òäåÀë×ÓÓйýÃôÊ·Õß½ûÓá£

¡¾µ±¿àÖÔÏî¡¿¡ª·ÊÅÖ²¡ÈË£¬ÓÃÁ¿×üõ¡£¡ªÎüÈëÂé×íÒ©ÄÜÇ¿»¯Æä×÷Óá£Ê¹ÓÃÎüÈëÂé×íҩʱ£¬Ó¦Ï÷¼õÆäÓÃÁ¿£¬¼û¡¾Ò©ÎïÏ໥×÷Óá¿¡£¡ªÓÐЩ»¼Õß¿ÉÄܱØÒªÊ¹ÓýϸߵļÁÁ¿£¬Ö»ÓÐά³ÖÏàÒ˵ĻúÐµÍ¨Æø£¬ÔÚʹÓÃÓ÷úÍéÂé×íºÍÉñ¾­°²Ú×Õò¾²Âé×íʱ³õ´Î¼ÁÁ¿¿ÉΪ0.15-0.3mg/kgÖ®¼ä£¬¶øÎÞÐÄѪ¹Ü¸±×÷ÓᣴÓҩЧѧµÄ¸ÅÏë¿´£¬Ê¹Óýϴó¼ÁÁ¿µÄ±¾Æ·¿ÉËõ¶ÌÆðЧ¹¦·ò£¬µ¢¸é×÷Óù¦·ò¡£¡ªÆÊ¸¹²úºÍÐÂÉú¶ùÊÖÊõµÄ¼ÁÁ¿²»Ó¦¸Ã³¬¹ý0.1mg/kg¡£ÓÉÓÚÉñ¾­¼¡Èâ×è¶ÏÒ©ÔÚ¸øÒ©ºó¿ÉÄÜ»á²úÉú¹ýÃô·´Ó³£¬Òò¶ø£¬Ê¼ÖÕÓ¦Õë¶ÔÕâÖÖ·´Ó³´ÍÓë±ØÒªµÄÔ¤·À´ëÊ©¡£ÓÉÓÚ¶ÔÓÚÉñ¾­¼¡Èâ×è¶ÏÒ©Ö®¼äµÄ½»²æ¹ýÃô·´Ó³ÒÑÓл㱨£¬ËùÒÔ£¬³ö¸ñÊǶÔÒÔǰÒѾ­²úÉú¹ýÒòÉñ¾­¼¡Èâ×è¶ÏÒ©¶øÒýÆðµÄ¹ýÃô·´Ó³»¼Õߣ¬¸üÊDZØÒªÌṩ³ö¸ñµÄÔ¤·À´ëÊ©¡£ÓÉÓÚ±¾Æ·ÔÚÁÙ´²¼ÁÁ¿ÁìÓòÄÚ²»»á¶ÔÐÄѪ¹Üϵͳ²úÉúÓ°Ï죬Òò¶ø£¬Ëü²»»á¶ÔÒòÊÖÊõ¹ý³ÌÖÐʹÓÃijЩÀàÐ͵ÄÕòÍ´¼ÁºÍѻƬÔì¼Á»òÊÇÒòÃÔ×ßÉñ¾­·´ÉäËùÒýÆðµÄÐ͝¹ý»ºÆðµ½»º½â×÷Óá£Òò¶ø£¬³ÁÐÂÆÀ¼ÛÃÔ×ßÉñ¾­ÒÖÔì¼Á(ÀýÈ磺ÔÚÂé×íǰ»òÊÇÂé×íÓÕµ¼Ê±ËùʹÓõİ¢ÍÐÆ·)µÄʹÓúÍ/»òÓÃÒ©¼ÁÁ¿£¬¶ÔÓÚ¾­³£¿ÉÄܲúÉúÃÔ×ßÉñ¾­·´Ó³µÄÊÖÊõ¹ý³Ì£¨ÀýÈ磺ÒÑÖªÔÚÊÖÊõ¹ý³ÌÖÐËùʹÓõÄÂé×íÒ©ÎïÓµÓÐÃÔ×ßÉñ¾­´Ì¼¤Ð§Ó¦£¬»òÊÇÑÛ¿ÆÊÖÊõ¡¢¸¹²¿ÊÖÊõ¡¢¸ØÃÅÖ±³¦ÊÖÊõµÈ)¿ÉÄÜ»áÓп϶¨Òâ˼¡£¶ÔÓÚ±¾Æ·ÔÚ³ÁÖ¢¼à»¤²¡·¿(ICU)ÄÚµÄʹÓ÷½Ã棬ĿǰÉв»×ã×ã¹»µÄ×ÊÁϸø³ö½¨Òé¡£ÒÑÓб¨Â·£¬Í¨³£ÔÚ³ÁÖ¢¼à»¤²¡·¿(ICU)ÄÚ³Ö¾ÃʹÓü¡ËÉÒ©ºó£¬»áʹÂéľºÍ/»ò¹Ç÷À¼¡ÎÞÁ¦µÄ¹¦·òµ¢¸é£¬ÎªÁËÓÐÖúÓÚ½â³ýÒòÉñ¾­¼¡Èâ×è¶ÏÒ©ºÍ/»òÓÃÒ©¹ýÁ¿Ëù¿ÉÄÜÒýÆðµÄµ¢¸éЧӦ£¬Ç¿ÁÒ½¨ÒéÔÚʹÓü¡ËÉÒ©µÄÕû¸ö¹ý³ÌÖжÔÉñ¾­¼¡ÈâÖ®¼äµÄ´«µÝÇé¿ö½øÐмà²â¡£Áí±í£¬»¼Õß»¹Ó¦¸Ã½ÓÊÜÊʵ±µÄÕòÍ´ºÍÕò¾²¼ÁÒ½ÖΡ£ÔÙÕߣ¬¼¡ËÉÒ©Ó¦¸ÃÓÉÊìϤÕâЩҩÎï×÷ÓõÄÓо­ÑéµÄÁÙ´²Ò½Éú½øÐУ¬»òÊÇÔÚÕâЩҽÉúµÄÁ쵼ϣ¬Í¬Ê±»¹Ó¦¸ÃѡȡÊʵ±µÄÉñ¾­¼¡Èâ¼à²â¼¼Êõ¡£ÓÉÓÚ±¾Æ·Í¨³£ÒªÓëÆäËûÒ©Îïһ·ʹÓã¬Í¬Ê±ÔÚÂé×í¹ý³ÌÖпÉÄܲúÉú¶ñÐÔ¸ßÈÈ£¬Òò¶ø£¬¼´±ãÔÚûÓÐÒÑÖªÖÂÈȳɷִæÔÚµÄÇé¿öÏ£¬ÁÙ´²Ò½ÉúÒ²Ó¦¸ÃÔÚÆðÍ·Âé×íǰ£¬¶Ô¶ñÐÔ¸ßÈȵÄÔçÆÚÕ÷Ïó¡¢È·Õï²½ÖèÒÔ¼°Ò½ÖδëÊ©ÁËÈ»ÓÚÐØ¡£ÒÔϼ²²¡¿ÉÄÜÓ°Ï챾ƷµÄÒ©´ú¶¯Á¦Ñ§ºÍ/»òҩЧѧ £»1¡¢¸ÎºÍ(»ò)µ¨Â·¼²²¡ Ö»¹Üά¿âäåï§ÖØÒªÊÇͨ¹ýµ¨Â·ÏµÍ³Éø³ö£¬ÔÚ»¼ÓиÎÔàºÍ/»òµ¨Â·ÏµÍ³¼²²¡µÄ»¼ÕßÖУ¬±¾Æ·ËùÒýÆðµÄÉñ¾­¼¡Èâ×èÖÍ×÷ÓÃͨ³£Çé¿öϽöÓÐÖжÈŤת¡£²¢ÇÒÕâЩŤתÓмÁÁ¿ÒÀÀµÐÔ¡£ºÍÕý³ £»¼ÕßÏà±È¡£¼ÁÁ¿Îª0.1mg/kgά¿âäåï§Ê±£¬Ò©ÎïµÄÆðЧ¹¦·òµ¢¸éºÍ×÷ÓõijÖÐø¹¦·òËõ¶ÌÊÇÇá΢µÄ£¬ÕâЩ±ä¶¯ÎÞͳ¼ÆÑ§²î¾à¡£µ±¼ÁÁ¿±ðÀë´ïµ½0.15mg/kgºÍ0.2mg/kg ά¿âäåï§Ê±£¬Ò©ÎïÆðЧ¹¦·òµÄµ¢¸éÒÀÈ»ºÜ²»ÏÔÖø(0.15mg/kg)»òµ××ÓÎޱ䶯(0.2mg/kg)oÔÚ0.15mg/kg Ìå³Á×éÖУ¬Ã»Óз¢ÏÖÒ©Îï×÷ÓõijÖÐø¹¦·òÓÐÈκα䶯¶øÔÚ0.2mg/kg Ìå³Á×éÖУ¬¹Û²ìµ½Ò©Îï×÷ÓõijÖÐø¹¦·òºÍ¸´Ô­¹¦·òÏÔÖøµ¢¸é¡£2¡¢ÉöÖ°ÄÜË¥½ß ±¾Æ·ÓÃÓÚÉöÖ°ÄÜË¥½ßµÄ»¼Õßʱ£¬Ö»±¨Â·ÆäҩЧѧ²ÎÊý»á²úÉúÇá΢Ťת¡£ÔÚÉöÖ°ÄÜË¥½ß»¼ÕßµÄÌåÄÚ£¬±¾Æ·µÄÒ©Îï×÷ÓÿÉÄÜ»áÊܵ½¿Ï¶¨Ë®Æ½µÄÒÖÔì¡£µ±±¾Æ·ÓÃÓÚÉöÖ°ÄÜË¥½ßµÄ»¼ÕßʱҩÎïµÄÆðЧ¹¦·òºÍ¸´Ô­¹¦·ò¿ÉÄÜ»áÂÔÓе¢¸é¡£µ«ÊDz»»á²úÉúÁÙ´²Ó°Ïì¡£3¡¢Ñ­»·¹¦·òµ¢¸é ÓëÑ­»·¹¦·òµ¢¸éÓйصĸ÷ÀàÇé¿ö£¬ÀýÈçÐÄѪ¹Ü¼²²¡¡¢¸ßÁ䡢ˮÖ׵ȵ¼ÖÂÉ¢²¼ÈÝÁ¿Ôö´ó£¬¾ù¿ÉÄÜ»áʹÉñ¾­¼¡Èâ×èÖÍÒ©µÄÆðЧ¹¦·òµ¢¸é¡£4¡¢Éñ¾­¼¡Èâ¼²²¡ ÀàËÆÓÚÆäËûÉñ¾­¼¡Èâ×èÖÍÒ©£¬±¾Æ·ÔÚÓÃÓÚ»¼ÓÐÉñ¾­¼¡Èâ¼²²¡»òÒѾ­»¼Óгà×ÓÂéľ֢µÄ»¼ÕßʱӦÉ÷³Á£¬ÓÉÓÚÕâЩÇé¿öÏ£¬»¼Õß¶ÔÉñ¾­¼¡Èâ×èÖÍÒ©µÄ·´Ó³¿ÉÄÜ»á²úÉúÏÔÖøÅ¤×ª¡£ÕâÖֱ䶯µÄ·ù¶È¼°Å¤×ª·½Ïò¿ÉÄÜÓкܴó²î¾à¡£¶ÔÓÚ»¼ÓгÁÖ¢¼¡ÎÞÁ¦»ò(Eaton Lambert)¼¡ÎÞÁ¦×ÛºÏÖ¢»¼Õߣ¬Ó×¼ÁÁ¿µÄ±¾Æ·¾Í¿ÉÄÜ»á²úÉú¼«Ç¿µÄ¹¦Ð§£¬Òò¶øÓ¦¸Ã»ºÂýµÎ¶¨±¾Æ·Ö±ÖÁ³öÏÖ·´Ó³ÎªÖ¹¡£5¡¢µÍΠµÍÎÂÏÂÊÖÊõ£¬±¾Æ·µÄÉñ¾­¼¡Èâ×èÖÍЧӦ»áÓÐËùµ¢¸é¡£6¡¢·ÊÅÖ ÓëÆäËüµÄÉñ¾­¼¡Èâ×è¶ÏÒ©Ò»Ñù£¬µ±Æ¾¾Ý»¼ÕßµÄÏÖʵÌå³ÁÍÆËã¸øÒ©¼ÁÁ¿Ê±£¬±¾Æ·ÔÚ·ÊÅÖÕßÌåÄÚÒ²»á²û·¢³öÒ©Îï×÷ÓóÖÐø¹¦·òºÍ¸´Ô­×ÔÖ÷»î¶¯µÄ¹¦·ò¾ùÓÐËùµ¢¸éµÄ¾°Ïó¡£7¡¢ÉÕÉË ÒÑÖªÉÕÉËÕß¶Ô·ÇÈ¥¼«»¯Ò©ÎïÓµÓп϶¨µÄÄÍÊÜÐÔ£¬Òò¶ø½¨Ò黺ÂýµÎ¶¨Ò©ÎïÖ±ÖÁ³öÏÖ·´Ó³ÎªÖ¹¡£Äܹ»Ê¹±¾Æ·×÷ÓüÓÇ¿µÄÇé¿öÓУºµÍ¼ØÑªÖ¢(ÀýÈ磺²úÉú¾çÁÒŻ͡¢¸¹Ðº»ò¾­¹ýÀûÄò¼ÁÒ½Öκó)¡¢¸ßþѪ֢¡¢µÍ¸ÆÑªÖ¢(¾­¹ý´óÁ¿ÊäѪºó)¡¢µÍµ°°×Ѫ֢¡¢ÍÑË®¡¢ËáÖж¾¡¢¸ß̼ËáѪ֢ÒÔ¼°¶ñÒºÖÊ¡£Òò¶øÑϳÁµÄµç½âÖÊʧºâ£¬ÑªÒºpHÖµ²úÉúŤת»òÊÇÍÑË®¾ùӦȫÁ¦¾ÀÕý¡£ÓëÆäËüÉñ¾­¼¡Èâ×è¶ÏÒ©µÄʹÓÃÒ»Ñù£¬±¾Æ·Ó¦ÓÉÊìϤ¸ÃÒ©×÷ÓûúÔìµÄÓо­ÑéµÄÁÙ´²Ò½ÉúʹÓ㬻òÊÇÔÚÕâЩҽÉúµÄÁìµ¼ÏÂʹÓá£ÓÉÓÚ¸ÃҩʹºôÎü¼¡ËɳÚ£¬Ê¹ÓÃʱӦÓèÒÔ²¡ÈË»úÐµÍ¨Æø£¬Ö±ÖÁ×ÔÖ÷ºôÎü¸´Ô­¡£¼øÓÚÒÑÓÐÉñ¾­¼¡Èâ×è¶ÏÒ©¹ýÃô·´Ó³µÄ»ã±¨£¬¹ÌÈ»ÔÚ±¾Æ·º±¼û£¬µ«ÈÔÓ¦ÓèÆ÷³Á(¼û¡¾²»Á¼·´Ó³¡¿)¡£¶Ô¼ÝÊ»ºÍ²Ù×÷»úеÄÜÁ¦µÄÓ°Ï죺½¨ÒéÔÚÀûÓñ¾Æ·ÆëÈ«¸´Ô­ºóµÄ24Ó×ʱÄÚ£¬²»ÒªÊ¹ÓÃÓÐDZÔÚΣÏյĻúеºÍ¼Ý³µ¡£Ê¹Óñ¾Æ·ÆÚ¼ä£¬Èç³öÏÖÈκβ»Á¼ÊÂÎñºÍ/»ò²»Á¼·´Ó³£¬ÇëÕ÷ѯҽÉú¡£Í¬Ê±Ê¹ÓÃÆäËûÒ©Æ·£¬Çë·î¸æÒ½Éú¡£Çë¸éÖÃÓÚ¶ùͯ²»³ÉÄÜ´¥¼°µÄ´¦Ëù¡£

¡¾Ôи¾¼°²¸ÈéÆÚ¸¾Å®ÓÃÒ©¡¿Ä¿Ç°ÉÐÎÞ×ã¹»×ÊÁÏÖ¤Ã÷¶¯ÎïijÈËÔÚ»³Ì¥ÆÚʹÓñ¾Æ·£¬¶ÔÌ¥¶ùÓÐDZÔڵķçÏÕ£¬µ«¶Ô»³Ì¥ÆÚ¸¾Å®Ö»Óо­Ö÷ÖÎҽʦºâÁ¿Àû±×ºó²Å¿ÉʹÓá£ÈéÖ­ÖÐÊÇ·ñº¬Óб¾Æ·»¹²»Ã÷ÏÔ¡£ÆÊ¸¹²ú£º×êÑÐÖ¤Ã÷ÔÚÆÊ¸¹²úÊÖÊõÖУ¬Ê¹Óñ¾Æ·²»Ó¦³¬¹ý0.1mg/kgÊǰ²È«µÄ£¬±¾Æ·²»Ó°ÏìApgar¼Æ·Ö¡¢Ì¥¶ù¼¡ÕÅÁ¦ºÍÐÄ¡¢·ÎµÄµ÷½ÚÄÜÁ¦¡£Æê´øÑªÑù±¾µÄ·ÖÎö֤ʵ£¬Ö»Óм«ÉÙÁ¿µÄ±¾Æ·Í¨¹ýÌ¥ÅÌ£¬¶ÔÌ¥¶ùÎÞÈκβ»Á¼·´Ó³¡£°ÑÎÈ£ºÒò»³Ì¥¶¾ÑªÖ¢Ê¹ÓÃÁòËáþÔì¼ÁµÄ²¡ÈË£¬ÔÚʹÓñ¾Æ·Ê±£¬Éñ¾­¼¡Èâ×è¶ÏµÄ¸´Ô­²»ÖÐÒâ¡£ÕâÊÇÓÉÓÚþÑοÉÇ¿»¯Éñ¾­¼¡ÈâµÄ×è¶ÏЧӦ¡£Òò¶ø£¬¶Ô½ÓÊÜÁòËáþҽÖεIJ¡ÈË£¬±¾Æ·ÓÃÁ¿ÒªÏ÷¼õ£¬²¢ÇÒÓ¦¸ùé§²ü´¤·´Ó³É÷³ÁµÎ×¢¡£

¡¾¶ùͯÓÃÒ©¡¿ÓÉÓÚ¶ùͯÉñ¾­¼¡Èâ½ÓÍ·µÄÃô¸ÐÐÔ·ÖÆç£¬³ö¸ñÊǶÔÐÂÉú¶ù(ÖÜΧÒÔÄÚ)ºÍÓ¤¶ù(ËĸöÔÂÒÔÄÚ)£¬³õ´Î¼ÁÁ¿0.01-0.02mg/kg¼´¿É£¬Èç²ü´¤·´Ó³Î´ÒÖÔìµ½90-95%£¬¿ÉÔÙ×·¼Ó¼ÁÁ¿¡£ÔÚÁÙ´²ÊÖÊõÖУ¬ÓÃÒ©¼ÁÁ¿²»Ó¦³¬¹ý0.1mg/kg¡£5¸öÔÂÖÁ1ËêµÄÓ¤Ó×¶ùËùÐè¼ÁÁ¿Óë³ÉÈËÀàËÆ¡£È»¶ø±¾Æ·ÔÚÐÂÉú¶ùÓëÓ¤¶ùÖÐÆðЧ¹¦·ò½Ï³ÉÈËÓë¶ùͯҪ¶Ì¡£ËùÒÔ£¬ÏëÒªËõ¶Ì²å¹Ü¹¦·ò²¢²»±ØÒªÔö³¤²å¹Ü¼ÁÁ¿¡£Ïà¶ÔÓÚ³ÉÈËÓë¶ùͯ£¬±¾Æ·ÔÚÐÂÉú¶ùÓëÓ¤¼¸ÖÐ×÷Óü°¸´Ô­¹¦·ò½Ï³¤£¬Î¬³Ö¼ÁÁ¿Ó¦×üõ¡£ÔÚ¶ù¿ÆµÄÀûÓ㺡ªÐÂÉú¶ùºÍÓ¤¶ù£¬·úÍéÂé×íÏÂÐÂÉú¶ùºÍÓ¤¶ùµÄED90Óë³ÉÈ˵ĴóÌåÒ»Ñù(¡Ö28mg/kg)¡£ÐÂÉú¶ùºÍÓ¤¶ùµÄÆðЧ¹¦·ò½Ï¶ùͯºÍ³ÉÈ˶Ì£¬Õâ¿ÉÄÜÊÇÓÉÓÚÑ­»·¹¦·ò¶ÌºÍÐÄÊä³öÁ¿Ïà¶Ô½Ï´ó£¬²¢ÇÒǰÕßµÄÉñ¾­¼¡½ÓÍ·¶Ô¼¡ËÉÒ©½ÏÃô¸Ð¡£ÐÂÉú¶ùºÍÓ¤¶ùµÄ×÷Óú͸´Ô­¹¦·ò½Ï³ÉÄêÈ˳¤£¬¹Ê±¾Æ·µÄά³Ö¼ÁÁ¿Ó¦ÏàÓ¦Ï÷¼õ¡£¡ª¶ùͯ£¬·úÍéÂé×íϵĶùͯµÄED90±È³ÉÈ˵ĸß(¡Ö32mg/kg)£¬µ«ÎÞͳ¼ÆÑ§ÎÞÏÔÖø²î¾à¡£Óë³ÉÈËÏà±È£¬Æä×÷Óú͸´Ô­¹¦·ò±ðÀëÏ÷¼õ30%ºÍ20%-30%¡£Óë³ÉÈËÀàËÆ£¬ÔÚ³à×Ó»¼ÕßÖУ¬µ±²ü´¤¸ß¶È¸´Ô­ÖÁ¶ÔÕÕÖµµÄ25%ʱ£¬³Á¸´×·¼Ó³õʼ¼ÁÁ¿µÄ1/4×÷Ϊά³ÖÓÃÒ©¡£±¾Æ·³Á¸´´ÍÓëά³Ö¼ÁÁ¿²»»á²úÉúÐî»ý×÷Óá£Ö»¹ÜÔÚÐÂÉú¶ù¼°Ó¤¶ùÖÐÆä¸´Ô­¹¦·ò½Ï³¤£¬µ«²¢²»±ØÒªÍ¨ÀýʹÓÃÞ׿¹¼Á¡£ÈôÊÇÀûÓÃÞ׿¹Ò©£¬½«Óë³ÉÈËÒ»ÑùÓÐЧ¡£

¡¾ÀÏÄ껼ÕßÓÃÒ©¡¿È综ÓÐÐÄѪ¹Ü¼²²¡¡¢¸ßÁ䡢ˮÖ׵ȻᵼÖÂÉ¢²¼ÈÝÁ¿Ôö³¤£¬¾ù¿ÉÄܵ¢¸éÆðЧ¹¦·ò¡£

¡¾Ò©Îï¹ýÁ¿¡¿ÔÚÓÃÒ©¹ýÁ¿¼°Éñ¾­¼¡Èâ×èÖ͵¢¸éµÄÇé¿öÏ£¬²¡ÈËÓ¦´ÍÓë»úÐµÍ¨Æø£¬²¢´ÍÓëÊʵ±µÄµ¨¼î֬øÒÖÔì¼Á(ÈçÐÂ˹µÄÃ÷¡¢ßÁà¤Ë¹µÄÃ÷¡¢ÌÚϲÁú)×÷ΪÞ׿¹¼Á¡£µ±Ê¹Óõ¨¼î֬øÒÖÔì¼Á²»Äܸ´Ô­±¾Æ·µÄÉñ¾­¼¡Èâ×÷ÓÃʱ£¬»úÐµÍ¨ÆøÓ¦³ÖÐøÖÁ×ÔÖ÷ºôÎü¸´Ô­¡£·´¸´Ê¹Óõ¨¼î֬øÒÖÔì¼ÁÊÇΣÏյġ£

¡¾Ò©Àí¶¾Àí¡¿±¾Æ·Îª¾ºÕùÐÔ·ÇÈ¥¼«»¯¼¡ÈâËɳڼÁ£¬Í¨¹ý¾ºÕùµ¨¼îÄÜÊÜÌåÆð×è¶ÏÒÒõ£µ¨¼îµÄ×÷Óá£Æä×÷ÓÃÄܹ»±»ÐÂ˹µÄÃ÷µÈ¿¹µ¨¼î֬øҩËùÄæ×ª¡£ÔÚ³õʼ¼ÁÁ¿Çé¿öÏ£¬²úÉúµÄ¼¡ÈâËɳڳÖÐø¹¦·ò½Ï¶Ì£¬¸´Ô­¿ì¡£²»ÓÕ·¢×é°·¿ªÊÍ£¬²»ÒýÆðÖ§Æø¹Ü¾·ÂκÍѪѹ½µÂäµÈ¡£

¡¾Ò©´ú¶¯Á¦Ñ§¡¿Ò©¶¯Ñ§Çк϶þÊÒÊ¢¿ªÄ£ÐÍ£¬É¢²¼t1/2ԼΪ4·ÖÖÓ£¬½â³ýt1/2ԼΪ30¡« 80·ÖÖÓ£¬¾ùÔÈÎÈ̬ѪҩŨ¶ÈΪ0.137¦Ìg/ml¡£¸øÒ©ºóÔ¼1-3·ÖÖÓ¼¡ÈâÆðÍ·ËɳÚ£¬³ÖÐø20-30·ÖÖÓ¡£¾²Âö×¢Éäºó£¬ÆäÉ¢²¼°ëË¥ÆÚԼĪΪ2.2(¡À1.4)·ÖÖÓ¡£ÖØÒªÉ¢²¼ÓÚϸ°û±íÒº¡£ÎÈ̬ʱ£¬ÆäÉ¢²¼ÈÝ»ý³ÉÈ˾ùÔÈΪ0.27L/kg£¬ÆäѪ½¬¶Ï¸ùÂÊΪ5.2(¡À0.7)ml/kg/min¡£Ñª½¬¶Ï¸ù°ëË¥ÆÚ¾ùÔÈΪ71(¡À20)·ÖÖÓ¡£Æä´úлˮƽÏà¶Ô½ÏµÍ¡£ÈËÌ嵨֭ºÍÄòÖеÄ3-ôÇ»ùÑÜÉúÎïÊÇÆä´úл²úÆ·£¬¼¡ËÉЧÁ¦Ô¼ÄªÎª±¾Æ·µÄ50%¡£ÔÚÎÞ¸ÎË¥»òÉöË¥µÄ²¡ÈËÖУ¬ÕâÖÖ´úл²úÆ·µÄѪ½¬Å¨¶È¼«µÍ¡£ÖØÒªÒÔÕæÏàºÍ´úлÎïµÄ´ó¾Ö¾­µ¨Ö­Åųö£¬Óײ¿ÃÅÓÉÉöÔàÅųö¡£Ô¼Äª40¡«80%ÒÔµ¥¼¾ï§´ó¾Ö¾­µ¨Ö­Éø³ö£¬ÆäÖÐ95%Ϊ±¾Æ·Ô­ÐÍ£¬5%Ϊ3-ôÇ»ùä廯ά¿âäåï§¡£ÀíÓÉÉöÔàÅųöºÜÉÙ£¬¾­°òë×Äڲ嵼¹ÜÍøÂçµ½µÄ24Ó×ʱÄòÁ¿£¬¾ùÔȺ¬ÓÐ30%µÄ¾²×¢ä廯ά¿âäåï§¡£

¡¾Öü²Ø¡¿ÃܹØ£¬ÔÚÒõÁ¹(²»³¬¹ý20¡æ)´¦±£Áô¡£

¡¾°ü×°¡¿Î÷ÁÔì¿×°¡£10Ö§/ºÐ¡£

¡¾ÓÐЧÆÚ¡¿24¸öÔÂ

¡¾Ö´Ðг߶ȡ¿¹ú¶ÈʳƷҩƷ¼à¶½ÖÎÀí¾Ö³ß¶ÈYBH15812006¡¶ÖйúÒ©µä¡·2020°æµÚ¶þ²¿

¡¾ºË×¼Îĺš¿¹úÒ©×¼×ÖH20065437

¡¾ÉÏÊÐÐí¿É³ÖÓÐÈË¡¿Ãû³Æ£ºÉ½Î÷±ØÓ®ÑÇÖÞ̩ʢÔìÒ©ÓÐÏÞ¹«Ë¾

            ×¢²áµØÖ·£ºÉ½Î÷Ê¡´óͬÊо­¼Ã¼¼Êõ¿ª·¢ÇøµÚÒ»Ò½Ò©Ô°Çø

¡¾³ö²úÆóÒµ¡¿ÆóÒµÃû³Æ£ºÉ½Î÷±ØÓ®ÑÇÖÞ̩ʢÔìÒ©ÓÐÏÞ¹«Ë¾

        ³ö²úµØÖ·£ºÉ½Î÷Ê¡´óͬÊо­¼Ã¼¼Êõ¿ª·¢ÇøµÚÒ»Ò½Ò©Ô°Çø

        ÓÊÕþ±àÂ룺037300

        µç»°ºÅÂ룺0352-7290991

        ´«ÕæºÅÂ룺0352-7290990

dc95a3f37d31f224fc4ef1dd0bf6e25f
×¢ÉäÓÃά¿âäåï§
¡¾³É¡¡¡¡·Ý¡¿Î¬¿âäåï§
¡¾Ö°ÄÜÖ÷ÖΡ¿ÖØÒª×÷ΪȫÉíÂé×í¸¨ÖúÓÃÒ©£¬ÓÃÓÚÈ«ÂéʱµÄÆø¹Ü²å¹Ü¼°ÊÖÊõÖеÄËɳڼ¡Èâ¡£
¡¾¹æ¡¡¡¡¸ñ¡¿4mg
¡¾ºË×¼Îĺš¿¹úÒ©×¼×ÖH20065437
²úÆ·×¢Ã÷

¡¾Ò©Æ·Ãû³Æ¡¿Í¨ÓÃÃû³Æ£º×¢ÉäÓÃά¿âäåï§

        Ó¢ÎÄÃû³Æ£ºVecuronium Bromide for Injection

        ººÓïÆ´ÒôÃû£ºZhusheyong Weikuxiu'an

¡¾³É·Ý¡¿±¾Æ·ÖØÒª³É·ÝΪά¿âäåï§£¬Æä»¯Ì¨¸¦³ÆÎªä廯1-[3¦Á£¬17¦Â-¶þÒÒõ£Ñõ»ù-2-¦Â(1-ßßऻù)-5¦Á-ÐÛçÞÍé-16¦Â-»ù]-1-¼×»ùßßड£

      Æä½á¹¹Ê½Îª£º

×¢ÉäÓÃά¿âäåï§

      ·Ö×Óʽ£ºC34H57BrN2O4

      ·Ö×ÓÁ¿£º637.73

¡¾ÐÔ×´¡¿±¾Æ·Îª°×É«»òÀà°×É«ÊèËÉ×´Îï¡£

¡¾ÊÊÓ¦Ö¢¡¿ÖØÒª×÷ΪȫÉíÂé×í¸¨ÖúÓÃÒ©£¬ÓÃÓÚÈ«ÂéʱµÄÆø¹Ü²å¹Ü¼°ÊÖÊõÖеÄËɳڼ¡Èâ¡£

¡¾¹æ¸ñ¡¿4mg

¡¾Ó÷¨ÓÃÁ¿¡¿±¾Æ·½ö¹©¾²Âö×¢Éä»ò¾²ÂöµÎעʹÓᣲå¹Ü¼ÁÁ¿£º0.08-0.1mg/kg¡£ÓÃçúçêõ£µ¨¼îÐÐÆø¹Ü²å¹ÜºóËùÐèµÄ³õ´Î¼ÁÁ¿£º±¾Æ·0.03-0.05mg/kgÈôÊÇÀûÓÃçúçêõ£µ¨¼î²å¹Üʱ£¬Ó¦´ý¶Ô»¼ÕßÁÙ´²×÷ÓÃÏûÍ˺óÔÙʹÓñ¾Æ·¡£Î¬³Ö¼ÁÁ¿£º±¾Æ·0.02-0.03mg/kg×îºÃÔÚ²ü´¤¸ß¶È¸´Ô­µ½¶ÔÕÕÖµµÄ25%ʱÔÙ×·¼Óά³Ö¼ÁÁ¿¡£ÈçÆäËûÉñ¾­¼¡Èâ×è¶ÏÒ©Ò»Ñù£¬ÆäÓÃÁ¿Ó¦Ë没È˶øÒì¡£Áí±í£¬Âé×í²½Öè¡¢ÊÖÊõ¹¦·ò¡¢Êõǰ»òÂé×íÊÖÊõÖÐʹÓÃÆäËûÒ©ÎïµÄÓ°ÏìºÍ²¡È˵ÄÇé¿ö¶¼Ðè¼ÓÒÔ˼¿¼¡£Ó¦Ê¹ÓÃÄ©ÉÒÉñ¾­´Ì¼¤Æ÷¼à²âÉñ¾­¼¡Èâ×èÖͼ°¸´Ô­Ë®Æ½¡ £»ò×ñÒ½Öö¡£

¡¾²»Á¼·´Ó³¡¿ÏÂÁÐÓÉά¿âäåï§Ëù²úÉúµÄÒ©Îï²»Á¼·´Ó³ÔÚ²úÆ·µÄÉÏÊкó¼à²âÖл㱨£¬²úÉúÂʼ«¶Èº±¼û£¬µÍÓÚ1/10000¡£1¡¢Éñ¾­¼¡Èâ×èÖÍ×÷Óõ¢¸é·ÇÈ¥¼«»¯×è¶ÏÒ©Îï×î³£¼ûµÄ²»Á¼·´Ó³ÊÇÒ©ÎïµÄÒ©Àí×÷Óõ¢¸é£¬³¬¹ýÁËËù±ØÒªµÄ×÷Óù¦·ò¡£ÕâÖÖ×÷ÓûáÓÐ·ÖÆçµÄÁÙ´²²û·¢£¬´Ó¼¡ÎÞÁ¦µ½Òò³¤¹¦·òµÄÉî¶È¼¡Âéľ¶øµ¼ÖºôÎüÖ°Äܲ»È«»òȱÑõ¡£2¡¢¹ýÃô·´Ó³Ö»¹ÜÔ̺¬±¾Æ·ÔÚÄÚµÄÉñ¾­¼¡Èâ×è¶ÏÒ©²úÉúÑϳÁ¹ýÃô·´Ó³µÄ²¡Àý¼«¶Èº±¼û£¬µ«ÁÙ´²ÒÑÓб¨Â·£¬³öÏֵĹýÃô/Àà¹ýÃô·´Ó³Ô̺¬£ºÖ§Æø¹Ü¾·ÂΣ¬ÐÄѪ¹ÜŤת(ÀýÈ磺µÍѪѹ£¬Ð͝¹ý¿ì£¬Ñ­»·Ë¥½ßÉõÖÁÐÝ¿Ë)£¬Æ¤·ôŤת(ÀýÈçѪ¹ÜÉñ¾­ÐÔË®Ö×£¬Ý¡ÂéÕî)¡£ÕâЩ·´Ó³ÔÚijЩ²¡ÀýÉõÖÁÊÇÖÂËÀÐԵġ£¼øÓÚÕâЩ·´Ó³¿ÉÄܵÄÑϳÁÐÔ£¬ÁÙ´²Ò½ÉúÓ¦¼Ù¶¨²»Á¼·´Ó³»á²úÉú£¬²¢²ÉÈ¡±ØÒªµÄÔ¤·À´ëÊ©¡£3¡¢×é°·¿ªÊÍÓëÀà×é°··´Ó³¶àËùÖÜÖª£¬Éñ¾­¼¡Èâ×è¶ÏÒ©Îï¶Ô²¿ÃÅ×¢É䲿λ¼°È«ÉíÓÕµ¼×éÖ¯°·¿ªÊÍ£¬Òò¶øÔÚʹÓÃÕâЩҩÎïµÄ¹ý³ÌÖУ¬Ó¦¸Ã˼¿¼µ½¿ÉÄÜ»á²úÉú×¢É䲿λµÄɦÑ÷¼°ºì°ß·´Ó³ºÍ/»òÈ«ÉíÐÔÀà×é°·(Àà¹ýÃô)·´Ó³(Ò²¿É°Ý¼ûÉÏÊö¹ýÃô·´Ó³)¡£Æ¤ÄÚ×¢É䱾ƷµÄÊÔÑé×êÑÐÅú×¢£¬¸ÃÒ©½öÒýÆð²¿ÃÅÇá΢µÄ×éÖ¯°·¿ªÊÍ¡£ÔÚÈËÌåµÄ¶ÔÕÕ×êÑÐÖУ¬Òàδ֤Ã÷¾²Âö×¢É䱾Ʒºó£¬Ñª½¬×éÖ¯°·Ë®Æ½ÓÐÏÔÖøÉý¸ß¡£Ö»¹ÜÈç´Ë£¬ÔÚ¸ÃÒ©¿í·ºÀûÓõÄÇé¿öÏ£¬ÈÔżÓÐÕâÀà·´Ó³²úÉúµÄ±¨Â·¡£

¡¾½û¼É¡¿¶Ô±¾Æ·»òäåÀë×ÓÓйýÃôÊ·Õß½ûÓá£

¡¾µ±¿àÖÔÏî¡¿¡ª·ÊÅÖ²¡ÈË£¬ÓÃÁ¿×üõ¡£¡ªÎüÈëÂé×íÒ©ÄÜÇ¿»¯Æä×÷Óá£Ê¹ÓÃÎüÈëÂé×íҩʱ£¬Ó¦Ï÷¼õÆäÓÃÁ¿£¬¼û¡¾Ò©ÎïÏ໥×÷Óá¿¡£¡ªÓÐЩ»¼Õß¿ÉÄܱØÒªÊ¹ÓýϸߵļÁÁ¿£¬Ö»ÓÐά³ÖÏàÒ˵ĻúÐµÍ¨Æø£¬ÔÚʹÓÃÓ÷úÍéÂé×íºÍÉñ¾­°²Ú×Õò¾²Âé×íʱ³õ´Î¼ÁÁ¿¿ÉΪ0.15-0.3mg/kgÖ®¼ä£¬¶øÎÞÐÄѪ¹Ü¸±×÷ÓᣴÓҩЧѧµÄ¸ÅÏë¿´£¬Ê¹Óýϴó¼ÁÁ¿µÄ±¾Æ·¿ÉËõ¶ÌÆðЧ¹¦·ò£¬µ¢¸é×÷Óù¦·ò¡£¡ªÆÊ¸¹²úºÍÐÂÉú¶ùÊÖÊõµÄ¼ÁÁ¿²»Ó¦¸Ã³¬¹ý0.1mg/kg¡£ÓÉÓÚÉñ¾­¼¡Èâ×è¶ÏÒ©ÔÚ¸øÒ©ºó¿ÉÄÜ»á²úÉú¹ýÃô·´Ó³£¬Òò¶ø£¬Ê¼ÖÕÓ¦Õë¶ÔÕâÖÖ·´Ó³´ÍÓë±ØÒªµÄÔ¤·À´ëÊ©¡£ÓÉÓÚ¶ÔÓÚÉñ¾­¼¡Èâ×è¶ÏÒ©Ö®¼äµÄ½»²æ¹ýÃô·´Ó³ÒÑÓл㱨£¬ËùÒÔ£¬³ö¸ñÊǶÔÒÔǰÒѾ­²úÉú¹ýÒòÉñ¾­¼¡Èâ×è¶ÏÒ©¶øÒýÆðµÄ¹ýÃô·´Ó³»¼Õߣ¬¸üÊDZØÒªÌṩ³ö¸ñµÄÔ¤·À´ëÊ©¡£ÓÉÓÚ±¾Æ·ÔÚÁÙ´²¼ÁÁ¿ÁìÓòÄÚ²»»á¶ÔÐÄѪ¹Üϵͳ²úÉúÓ°Ï죬Òò¶ø£¬Ëü²»»á¶ÔÒòÊÖÊõ¹ý³ÌÖÐʹÓÃijЩÀàÐ͵ÄÕòÍ´¼ÁºÍѻƬÔì¼Á»òÊÇÒòÃÔ×ßÉñ¾­·´ÉäËùÒýÆðµÄÐ͝¹ý»ºÆðµ½»º½â×÷Óá£Òò¶ø£¬³ÁÐÂÆÀ¼ÛÃÔ×ßÉñ¾­ÒÖÔì¼Á(ÀýÈ磺ÔÚÂé×íǰ»òÊÇÂé×íÓÕµ¼Ê±ËùʹÓõİ¢ÍÐÆ·)µÄʹÓúÍ/»òÓÃÒ©¼ÁÁ¿£¬¶ÔÓÚ¾­³£¿ÉÄܲúÉúÃÔ×ßÉñ¾­·´Ó³µÄÊÖÊõ¹ý³Ì£¨ÀýÈ磺ÒÑÖªÔÚÊÖÊõ¹ý³ÌÖÐËùʹÓõÄÂé×íÒ©ÎïÓµÓÐÃÔ×ßÉñ¾­´Ì¼¤Ð§Ó¦£¬»òÊÇÑÛ¿ÆÊÖÊõ¡¢¸¹²¿ÊÖÊõ¡¢¸ØÃÅÖ±³¦ÊÖÊõµÈ)¿ÉÄÜ»áÓп϶¨Òâ˼¡£¶ÔÓÚ±¾Æ·ÔÚ³ÁÖ¢¼à»¤²¡·¿(ICU)ÄÚµÄʹÓ÷½Ã棬ĿǰÉв»×ã×ã¹»µÄ×ÊÁϸø³ö½¨Òé¡£ÒÑÓб¨Â·£¬Í¨³£ÔÚ³ÁÖ¢¼à»¤²¡·¿(ICU)ÄÚ³Ö¾ÃʹÓü¡ËÉÒ©ºó£¬»áʹÂéľºÍ/»ò¹Ç÷À¼¡ÎÞÁ¦µÄ¹¦·òµ¢¸é£¬ÎªÁËÓÐÖúÓÚ½â³ýÒòÉñ¾­¼¡Èâ×è¶ÏÒ©ºÍ/»òÓÃÒ©¹ýÁ¿Ëù¿ÉÄÜÒýÆðµÄµ¢¸éЧӦ£¬Ç¿ÁÒ½¨ÒéÔÚʹÓü¡ËÉÒ©µÄÕû¸ö¹ý³ÌÖжÔÉñ¾­¼¡ÈâÖ®¼äµÄ´«µÝÇé¿ö½øÐмà²â¡£Áí±í£¬»¼Õß»¹Ó¦¸Ã½ÓÊÜÊʵ±µÄÕòÍ´ºÍÕò¾²¼ÁÒ½ÖΡ£ÔÙÕߣ¬¼¡ËÉÒ©Ó¦¸ÃÓÉÊìϤÕâЩҩÎï×÷ÓõÄÓо­ÑéµÄÁÙ´²Ò½Éú½øÐУ¬»òÊÇÔÚÕâЩҽÉúµÄÁ쵼ϣ¬Í¬Ê±»¹Ó¦¸ÃѡȡÊʵ±µÄÉñ¾­¼¡Èâ¼à²â¼¼Êõ¡£ÓÉÓÚ±¾Æ·Í¨³£ÒªÓëÆäËûÒ©Îïһ·ʹÓã¬Í¬Ê±ÔÚÂé×í¹ý³ÌÖпÉÄܲúÉú¶ñÐÔ¸ßÈÈ£¬Òò¶ø£¬¼´±ãÔÚûÓÐÒÑÖªÖÂÈȳɷִæÔÚµÄÇé¿öÏ£¬ÁÙ´²Ò½ÉúÒ²Ó¦¸ÃÔÚÆðÍ·Âé×íǰ£¬¶Ô¶ñÐÔ¸ßÈȵÄÔçÆÚÕ÷Ïó¡¢È·Õï²½ÖèÒÔ¼°Ò½ÖδëÊ©ÁËÈ»ÓÚÐØ¡£ÒÔϼ²²¡¿ÉÄÜÓ°Ï챾ƷµÄÒ©´ú¶¯Á¦Ñ§ºÍ/»òҩЧѧ £»1¡¢¸ÎºÍ(»ò)µ¨Â·¼²²¡ Ö»¹Üά¿âäåï§ÖØÒªÊÇͨ¹ýµ¨Â·ÏµÍ³Éø³ö£¬ÔÚ»¼ÓиÎÔàºÍ/»òµ¨Â·ÏµÍ³¼²²¡µÄ»¼ÕßÖУ¬±¾Æ·ËùÒýÆðµÄÉñ¾­¼¡Èâ×èÖÍ×÷ÓÃͨ³£Çé¿öϽöÓÐÖжÈŤת¡£²¢ÇÒÕâЩŤתÓмÁÁ¿ÒÀÀµÐÔ¡£ºÍÕý³ £»¼ÕßÏà±È¡£¼ÁÁ¿Îª0.1mg/kgά¿âäåï§Ê±£¬Ò©ÎïµÄÆðЧ¹¦·òµ¢¸éºÍ×÷ÓõijÖÐø¹¦·òËõ¶ÌÊÇÇá΢µÄ£¬ÕâЩ±ä¶¯ÎÞͳ¼ÆÑ§²î¾à¡£µ±¼ÁÁ¿±ðÀë´ïµ½0.15mg/kgºÍ0.2mg/kg ά¿âäåï§Ê±£¬Ò©ÎïÆðЧ¹¦·òµÄµ¢¸éÒÀÈ»ºÜ²»ÏÔÖø(0.15mg/kg)»òµ××ÓÎޱ䶯(0.2mg/kg)oÔÚ0.15mg/kg Ìå³Á×éÖУ¬Ã»Óз¢ÏÖÒ©Îï×÷ÓõijÖÐø¹¦·òÓÐÈκα䶯¶øÔÚ0.2mg/kg Ìå³Á×éÖУ¬¹Û²ìµ½Ò©Îï×÷ÓõijÖÐø¹¦·òºÍ¸´Ô­¹¦·òÏÔÖøµ¢¸é¡£2¡¢ÉöÖ°ÄÜË¥½ß ±¾Æ·ÓÃÓÚÉöÖ°ÄÜË¥½ßµÄ»¼Õßʱ£¬Ö»±¨Â·ÆäҩЧѧ²ÎÊý»á²úÉúÇá΢Ťת¡£ÔÚÉöÖ°ÄÜË¥½ß»¼ÕßµÄÌåÄÚ£¬±¾Æ·µÄÒ©Îï×÷ÓÿÉÄÜ»áÊܵ½¿Ï¶¨Ë®Æ½µÄÒÖÔì¡£µ±±¾Æ·ÓÃÓÚÉöÖ°ÄÜË¥½ßµÄ»¼ÕßʱҩÎïµÄÆðЧ¹¦·òºÍ¸´Ô­¹¦·ò¿ÉÄÜ»áÂÔÓе¢¸é¡£µ«ÊDz»»á²úÉúÁÙ´²Ó°Ïì¡£3¡¢Ñ­»·¹¦·òµ¢¸é ÓëÑ­»·¹¦·òµ¢¸éÓйصĸ÷ÀàÇé¿ö£¬ÀýÈçÐÄѪ¹Ü¼²²¡¡¢¸ßÁ䡢ˮÖ׵ȵ¼ÖÂÉ¢²¼ÈÝÁ¿Ôö´ó£¬¾ù¿ÉÄÜ»áʹÉñ¾­¼¡Èâ×èÖÍÒ©µÄÆðЧ¹¦·òµ¢¸é¡£4¡¢Éñ¾­¼¡Èâ¼²²¡ ÀàËÆÓÚÆäËûÉñ¾­¼¡Èâ×èÖÍÒ©£¬±¾Æ·ÔÚÓÃÓÚ»¼ÓÐÉñ¾­¼¡Èâ¼²²¡»òÒѾ­»¼Óгà×ÓÂéľ֢µÄ»¼ÕßʱӦÉ÷³Á£¬ÓÉÓÚÕâЩÇé¿öÏ£¬»¼Õß¶ÔÉñ¾­¼¡Èâ×èÖÍÒ©µÄ·´Ó³¿ÉÄÜ»á²úÉúÏÔÖøÅ¤×ª¡£ÕâÖֱ䶯µÄ·ù¶È¼°Å¤×ª·½Ïò¿ÉÄÜÓкܴó²î¾à¡£¶ÔÓÚ»¼ÓгÁÖ¢¼¡ÎÞÁ¦»ò(Eaton Lambert)¼¡ÎÞÁ¦×ÛºÏÖ¢»¼Õߣ¬Ó×¼ÁÁ¿µÄ±¾Æ·¾Í¿ÉÄÜ»á²úÉú¼«Ç¿µÄ¹¦Ð§£¬Òò¶øÓ¦¸Ã»ºÂýµÎ¶¨±¾Æ·Ö±ÖÁ³öÏÖ·´Ó³ÎªÖ¹¡£5¡¢µÍΠµÍÎÂÏÂÊÖÊõ£¬±¾Æ·µÄÉñ¾­¼¡Èâ×èÖÍЧӦ»áÓÐËùµ¢¸é¡£6¡¢·ÊÅÖ ÓëÆäËüµÄÉñ¾­¼¡Èâ×è¶ÏÒ©Ò»Ñù£¬µ±Æ¾¾Ý»¼ÕßµÄÏÖʵÌå³ÁÍÆËã¸øÒ©¼ÁÁ¿Ê±£¬±¾Æ·ÔÚ·ÊÅÖÕßÌåÄÚÒ²»á²û·¢³öÒ©Îï×÷ÓóÖÐø¹¦·òºÍ¸´Ô­×ÔÖ÷»î¶¯µÄ¹¦·ò¾ùÓÐËùµ¢¸éµÄ¾°Ïó¡£7¡¢ÉÕÉË ÒÑÖªÉÕÉËÕß¶Ô·ÇÈ¥¼«»¯Ò©ÎïÓµÓп϶¨µÄÄÍÊÜÐÔ£¬Òò¶ø½¨Ò黺ÂýµÎ¶¨Ò©ÎïÖ±ÖÁ³öÏÖ·´Ó³ÎªÖ¹¡£Äܹ»Ê¹±¾Æ·×÷ÓüÓÇ¿µÄÇé¿öÓУºµÍ¼ØÑªÖ¢(ÀýÈ磺²úÉú¾çÁÒŻ͡¢¸¹Ðº»ò¾­¹ýÀûÄò¼ÁÒ½Öκó)¡¢¸ßþѪ֢¡¢µÍ¸ÆÑªÖ¢(¾­¹ý´óÁ¿ÊäѪºó)¡¢µÍµ°°×Ѫ֢¡¢ÍÑË®¡¢ËáÖж¾¡¢¸ß̼ËáѪ֢ÒÔ¼°¶ñÒºÖÊ¡£Òò¶øÑϳÁµÄµç½âÖÊʧºâ£¬ÑªÒºpHÖµ²úÉúŤת»òÊÇÍÑË®¾ùӦȫÁ¦¾ÀÕý¡£ÓëÆäËüÉñ¾­¼¡Èâ×è¶ÏÒ©µÄʹÓÃÒ»Ñù£¬±¾Æ·Ó¦ÓÉÊìϤ¸ÃÒ©×÷ÓûúÔìµÄÓо­ÑéµÄÁÙ´²Ò½ÉúʹÓ㬻òÊÇÔÚÕâЩҽÉúµÄÁìµ¼ÏÂʹÓá£ÓÉÓÚ¸ÃҩʹºôÎü¼¡ËɳÚ£¬Ê¹ÓÃʱӦÓèÒÔ²¡ÈË»úÐµÍ¨Æø£¬Ö±ÖÁ×ÔÖ÷ºôÎü¸´Ô­¡£¼øÓÚÒÑÓÐÉñ¾­¼¡Èâ×è¶ÏÒ©¹ýÃô·´Ó³µÄ»ã±¨£¬¹ÌÈ»ÔÚ±¾Æ·º±¼û£¬µ«ÈÔÓ¦ÓèÆ÷³Á(¼û¡¾²»Á¼·´Ó³¡¿)¡£¶Ô¼ÝÊ»ºÍ²Ù×÷»úеÄÜÁ¦µÄÓ°Ï죺½¨ÒéÔÚÀûÓñ¾Æ·ÆëÈ«¸´Ô­ºóµÄ24Ó×ʱÄÚ£¬²»ÒªÊ¹ÓÃÓÐDZÔÚΣÏյĻúеºÍ¼Ý³µ¡£Ê¹Óñ¾Æ·ÆÚ¼ä£¬Èç³öÏÖÈκβ»Á¼ÊÂÎñºÍ/»ò²»Á¼·´Ó³£¬ÇëÕ÷ѯҽÉú¡£Í¬Ê±Ê¹ÓÃÆäËûÒ©Æ·£¬Çë·î¸æÒ½Éú¡£Çë¸éÖÃÓÚ¶ùͯ²»³ÉÄÜ´¥¼°µÄ´¦Ëù¡£

¡¾Ôи¾¼°²¸ÈéÆÚ¸¾Å®ÓÃÒ©¡¿Ä¿Ç°ÉÐÎÞ×ã¹»×ÊÁÏÖ¤Ã÷¶¯ÎïijÈËÔÚ»³Ì¥ÆÚʹÓñ¾Æ·£¬¶ÔÌ¥¶ùÓÐDZÔڵķçÏÕ£¬µ«¶Ô»³Ì¥ÆÚ¸¾Å®Ö»Óо­Ö÷ÖÎҽʦºâÁ¿Àû±×ºó²Å¿ÉʹÓá£ÈéÖ­ÖÐÊÇ·ñº¬Óб¾Æ·»¹²»Ã÷ÏÔ¡£ÆÊ¸¹²ú£º×êÑÐÖ¤Ã÷ÔÚÆÊ¸¹²úÊÖÊõÖУ¬Ê¹Óñ¾Æ·²»Ó¦³¬¹ý0.1mg/kgÊǰ²È«µÄ£¬±¾Æ·²»Ó°ÏìApgar¼Æ·Ö¡¢Ì¥¶ù¼¡ÕÅÁ¦ºÍÐÄ¡¢·ÎµÄµ÷½ÚÄÜÁ¦¡£Æê´øÑªÑù±¾µÄ·ÖÎö֤ʵ£¬Ö»Óм«ÉÙÁ¿µÄ±¾Æ·Í¨¹ýÌ¥ÅÌ£¬¶ÔÌ¥¶ùÎÞÈκβ»Á¼·´Ó³¡£°ÑÎÈ£ºÒò»³Ì¥¶¾ÑªÖ¢Ê¹ÓÃÁòËáþÔì¼ÁµÄ²¡ÈË£¬ÔÚʹÓñ¾Æ·Ê±£¬Éñ¾­¼¡Èâ×è¶ÏµÄ¸´Ô­²»ÖÐÒâ¡£ÕâÊÇÓÉÓÚþÑοÉÇ¿»¯Éñ¾­¼¡ÈâµÄ×è¶ÏЧӦ¡£Òò¶ø£¬¶Ô½ÓÊÜÁòËáþҽÖεIJ¡ÈË£¬±¾Æ·ÓÃÁ¿ÒªÏ÷¼õ£¬²¢ÇÒÓ¦¸ùé§²ü´¤·´Ó³É÷³ÁµÎ×¢¡£

¡¾¶ùͯÓÃÒ©¡¿ÓÉÓÚ¶ùͯÉñ¾­¼¡Èâ½ÓÍ·µÄÃô¸ÐÐÔ·ÖÆç£¬³ö¸ñÊǶÔÐÂÉú¶ù(ÖÜΧÒÔÄÚ)ºÍÓ¤¶ù(ËĸöÔÂÒÔÄÚ)£¬³õ´Î¼ÁÁ¿0.01-0.02mg/kg¼´¿É£¬Èç²ü´¤·´Ó³Î´ÒÖÔìµ½90-95%£¬¿ÉÔÙ×·¼Ó¼ÁÁ¿¡£ÔÚÁÙ´²ÊÖÊõÖУ¬ÓÃÒ©¼ÁÁ¿²»Ó¦³¬¹ý0.1mg/kg¡£5¸öÔÂÖÁ1ËêµÄÓ¤Ó×¶ùËùÐè¼ÁÁ¿Óë³ÉÈËÀàËÆ¡£È»¶ø±¾Æ·ÔÚÐÂÉú¶ùÓëÓ¤¶ùÖÐÆðЧ¹¦·ò½Ï³ÉÈËÓë¶ùͯҪ¶Ì¡£ËùÒÔ£¬ÏëÒªËõ¶Ì²å¹Ü¹¦·ò²¢²»±ØÒªÔö³¤²å¹Ü¼ÁÁ¿¡£Ïà¶ÔÓÚ³ÉÈËÓë¶ùͯ£¬±¾Æ·ÔÚÐÂÉú¶ùÓëÓ¤¼¸ÖÐ×÷Óü°¸´Ô­¹¦·ò½Ï³¤£¬Î¬³Ö¼ÁÁ¿Ó¦×üõ¡£ÔÚ¶ù¿ÆµÄÀûÓ㺡ªÐÂÉú¶ùºÍÓ¤¶ù£¬·úÍéÂé×íÏÂÐÂÉú¶ùºÍÓ¤¶ùµÄED90Óë³ÉÈ˵ĴóÌåÒ»Ñù(¡Ö28mg/kg)¡£ÐÂÉú¶ùºÍÓ¤¶ùµÄÆðЧ¹¦·ò½Ï¶ùͯºÍ³ÉÈ˶Ì£¬Õâ¿ÉÄÜÊÇÓÉÓÚÑ­»·¹¦·ò¶ÌºÍÐÄÊä³öÁ¿Ïà¶Ô½Ï´ó£¬²¢ÇÒǰÕßµÄÉñ¾­¼¡½ÓÍ·¶Ô¼¡ËÉÒ©½ÏÃô¸Ð¡£ÐÂÉú¶ùºÍÓ¤¶ùµÄ×÷Óú͸´Ô­¹¦·ò½Ï³ÉÄêÈ˳¤£¬¹Ê±¾Æ·µÄά³Ö¼ÁÁ¿Ó¦ÏàÓ¦Ï÷¼õ¡£¡ª¶ùͯ£¬·úÍéÂé×íϵĶùͯµÄED90±È³ÉÈ˵ĸß(¡Ö32mg/kg)£¬µ«ÎÞͳ¼ÆÑ§ÎÞÏÔÖø²î¾à¡£Óë³ÉÈËÏà±È£¬Æä×÷Óú͸´Ô­¹¦·ò±ðÀëÏ÷¼õ30%ºÍ20%-30%¡£Óë³ÉÈËÀàËÆ£¬ÔÚ³à×Ó»¼ÕßÖУ¬µ±²ü´¤¸ß¶È¸´Ô­ÖÁ¶ÔÕÕÖµµÄ25%ʱ£¬³Á¸´×·¼Ó³õʼ¼ÁÁ¿µÄ1/4×÷Ϊά³ÖÓÃÒ©¡£±¾Æ·³Á¸´´ÍÓëά³Ö¼ÁÁ¿²»»á²úÉúÐî»ý×÷Óá£Ö»¹ÜÔÚÐÂÉú¶ù¼°Ó¤¶ùÖÐÆä¸´Ô­¹¦·ò½Ï³¤£¬µ«²¢²»±ØÒªÍ¨ÀýʹÓÃÞ׿¹¼Á¡£ÈôÊÇÀûÓÃÞ׿¹Ò©£¬½«Óë³ÉÈËÒ»ÑùÓÐЧ¡£

¡¾ÀÏÄ껼ÕßÓÃÒ©¡¿È综ÓÐÐÄѪ¹Ü¼²²¡¡¢¸ßÁ䡢ˮÖ׵ȻᵼÖÂÉ¢²¼ÈÝÁ¿Ôö³¤£¬¾ù¿ÉÄܵ¢¸éÆðЧ¹¦·ò¡£

¡¾Ò©Îï¹ýÁ¿¡¿ÔÚÓÃÒ©¹ýÁ¿¼°Éñ¾­¼¡Èâ×èÖ͵¢¸éµÄÇé¿öÏ£¬²¡ÈËÓ¦´ÍÓë»úÐµÍ¨Æø£¬²¢´ÍÓëÊʵ±µÄµ¨¼î֬øÒÖÔì¼Á(ÈçÐÂ˹µÄÃ÷¡¢ßÁà¤Ë¹µÄÃ÷¡¢ÌÚϲÁú)×÷ΪÞ׿¹¼Á¡£µ±Ê¹Óõ¨¼î֬øÒÖÔì¼Á²»Äܸ´Ô­±¾Æ·µÄÉñ¾­¼¡Èâ×÷ÓÃʱ£¬»úÐµÍ¨ÆøÓ¦³ÖÐøÖÁ×ÔÖ÷ºôÎü¸´Ô­¡£·´¸´Ê¹Óõ¨¼î֬øÒÖÔì¼ÁÊÇΣÏյġ£

¡¾Ò©Àí¶¾Àí¡¿±¾Æ·Îª¾ºÕùÐÔ·ÇÈ¥¼«»¯¼¡ÈâËɳڼÁ£¬Í¨¹ý¾ºÕùµ¨¼îÄÜÊÜÌåÆð×è¶ÏÒÒõ£µ¨¼îµÄ×÷Óá£Æä×÷ÓÃÄܹ»±»ÐÂ˹µÄÃ÷µÈ¿¹µ¨¼î֬øҩËùÄæ×ª¡£ÔÚ³õʼ¼ÁÁ¿Çé¿öÏ£¬²úÉúµÄ¼¡ÈâËɳڳÖÐø¹¦·ò½Ï¶Ì£¬¸´Ô­¿ì¡£²»ÓÕ·¢×é°·¿ªÊÍ£¬²»ÒýÆðÖ§Æø¹Ü¾·ÂκÍѪѹ½µÂäµÈ¡£

¡¾Ò©´ú¶¯Á¦Ñ§¡¿Ò©¶¯Ñ§Çк϶þÊÒÊ¢¿ªÄ£ÐÍ£¬É¢²¼t1/2ԼΪ4·ÖÖÓ£¬½â³ýt1/2ԼΪ30¡« 80·ÖÖÓ£¬¾ùÔÈÎÈ̬ѪҩŨ¶ÈΪ0.137¦Ìg/ml¡£¸øÒ©ºóÔ¼1-3·ÖÖÓ¼¡ÈâÆðÍ·ËɳÚ£¬³ÖÐø20-30·ÖÖÓ¡£¾²Âö×¢Éäºó£¬ÆäÉ¢²¼°ëË¥ÆÚԼĪΪ2.2(¡À1.4)·ÖÖÓ¡£ÖØÒªÉ¢²¼ÓÚϸ°û±íÒº¡£ÎÈ̬ʱ£¬ÆäÉ¢²¼ÈÝ»ý³ÉÈ˾ùÔÈΪ0.27L/kg£¬ÆäѪ½¬¶Ï¸ùÂÊΪ5.2(¡À0.7)ml/kg/min¡£Ñª½¬¶Ï¸ù°ëË¥ÆÚ¾ùÔÈΪ71(¡À20)·ÖÖÓ¡£Æä´úлˮƽÏà¶Ô½ÏµÍ¡£ÈËÌ嵨֭ºÍÄòÖеÄ3-ôÇ»ùÑÜÉúÎïÊÇÆä´úл²úÆ·£¬¼¡ËÉЧÁ¦Ô¼ÄªÎª±¾Æ·µÄ50%¡£ÔÚÎÞ¸ÎË¥»òÉöË¥µÄ²¡ÈËÖУ¬ÕâÖÖ´úл²úÆ·µÄѪ½¬Å¨¶È¼«µÍ¡£ÖØÒªÒÔÕæÏàºÍ´úлÎïµÄ´ó¾Ö¾­µ¨Ö­Åųö£¬Óײ¿ÃÅÓÉÉöÔàÅųö¡£Ô¼Äª40¡«80%ÒÔµ¥¼¾ï§´ó¾Ö¾­µ¨Ö­Éø³ö£¬ÆäÖÐ95%Ϊ±¾Æ·Ô­ÐÍ£¬5%Ϊ3-ôÇ»ùä廯ά¿âäåï§¡£ÀíÓÉÉöÔàÅųöºÜÉÙ£¬¾­°òë×Äڲ嵼¹ÜÍøÂçµ½µÄ24Ó×ʱÄòÁ¿£¬¾ùÔȺ¬ÓÐ30%µÄ¾²×¢ä廯ά¿âäåï§¡£

¡¾Öü²Ø¡¿ÃܹØ£¬ÔÚÒõÁ¹(²»³¬¹ý20¡æ)´¦±£Áô¡£

¡¾°ü×°¡¿Î÷ÁÔì¿×°¡£10Ö§/ºÐ¡£

¡¾ÓÐЧÆÚ¡¿24¸öÔÂ

¡¾Ö´Ðг߶ȡ¿¹ú¶ÈʳƷҩƷ¼à¶½ÖÎÀí¾Ö³ß¶ÈYBH15812006¡¶ÖйúÒ©µä¡·2020°æµÚ¶þ²¿

¡¾ºË×¼Îĺš¿¹úÒ©×¼×ÖH20065437

¡¾ÉÏÊÐÐí¿É³ÖÓÐÈË¡¿Ãû³Æ£ºÉ½Î÷±ØÓ®ÑÇÖÞ̩ʢÔìÒ©ÓÐÏÞ¹«Ë¾

            ×¢²áµØÖ·£ºÉ½Î÷Ê¡´óͬÊо­¼Ã¼¼Êõ¿ª·¢ÇøµÚÒ»Ò½Ò©Ô°Çø

¡¾³ö²úÆóÒµ¡¿ÆóÒµÃû³Æ£ºÉ½Î÷±ØÓ®ÑÇÖÞ̩ʢÔìÒ©ÓÐÏÞ¹«Ë¾

        ³ö²úµØÖ·£ºÉ½Î÷Ê¡´óͬÊо­¼Ã¼¼Êõ¿ª·¢ÇøµÚÒ»Ò½Ò©Ô°Çø

        ÓÊÕþ±àÂ룺037300

        µç»°ºÅÂ룺0352-7290991

        ´«ÕæºÅÂ룺0352-7290990